沙特力农
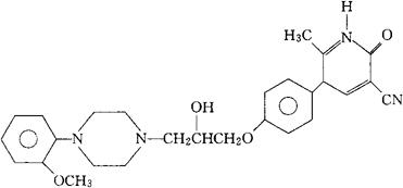
C27H30N4O4=474.56 CAS-102669-89-6 (±)-1,2-二氢-5-[对-[2-羟-3-[4-(邻-甲氧苯基--1-哌嗪基]-丙氧]苯基]-6-甲基-2-氧代烟酰腈。 (±)-1,2-Dihydro-5-[p-[2-hydroxy-3-[4-(o-methoxyphenyl)-1-piperazinyl]propoxy]phenyl]-6-methyl-2-oxonicotinonitrile. 1,2-二氢-5-[4-[2-羟-3-[4-(2-甲氧苯基)-1-哌嗪基]丙氧]苯基]-6-甲基-2-氧代-3-吡啶腈。 1,2-Dihydro-5-[4-]2-hydroxy-3-[4-(2-methoxyphenyl)-1-piperazniryl]propoxy]phenyl]-6-methyl-2-oxo-3-pyridine carbonitrile. 强心药。 Saterinone. INN,USAN. 
|