网站首页  词典首页


请输入您要查询的字词:

 

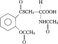
字词 沙米司坦
类别 中英文字词句释义及详细解析
释义 沙米司坦

C14H15NO6S=325.34

CAS-89767-59-9

N-乙酰-L-半胱氨酸水杨酸酯,乙酸酯。

N-Acetyl-L-cysteine salicylate(ester),acetate(ester).

粘液溶解药。

Selmisteine.

INN,USAN.

随便看

 

离鸟网收录3541549条中英文词条,其功能与新华字典、现代汉语词典、牛津高阶英汉词典等各类中英文词典类似,基本涵盖了全部常用中英文字词句的读音、释义及用法,是语言学习和写作的有利工具。

 

Copyright © 2004-2024 vtrois.com All Rights Reserved
更新时间:2026/5/25 10:41:31