沙莫西林
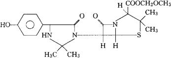
C21H27N3O6S=449.52 CAS-67337-44-4 6-[4-(对-羟基苯基)-2,2-二甲基-5-氧代-1-咪唑烷基]青霉烷酸甲氧基甲酯。 6-[4-(p-Hydroxyphenyl)-2,2-dimethyl-5-oxo-1-imidazolidinyl penicillanic acid methoxymethyl ester. (2S,5R,6R)-6-[4-(对-羟基苯基)-2,2-二甲基-5-氧代-1-咪唑烷基]-3,3-二甲基-7-氧代-4-硫杂-1-氮杂双环[3.2.0]庚烷-2-羧酸甲氧基甲酯。 (2S,5R,6R)-6-[4-(p-Hydroxyphenyl)-2,2-dimethyl5-oxo-1-imidazolidinyl]-3,3-dimethyl-7-oxo-4-thia-1-azabi cyclo[3.2.0]heptane-2-carboxylicacid methoxymethyl ester. 抗生素类药。 Sarmoxicillin. INN,USAN.  |