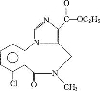
沙马泽尼
C15H14ClN3O3=319.75 CAS-78771-13-8 乙基7-氯-5,6-二氢-5-甲基-6-氧代-4H-咪唑并[1,5-a][1,4]苯并二氮杂 -3-羧酸酯。 Ethyl 7-chloro-5,6-dihydro-5-methyl-6-oxo-4H-imidazo[1,5-a][1,4]benzodiazepine-3-carboxylate. 7-氯-5,6-二氢-5-甲基-6-氧代-4H-咪唑并[1,5-a][1,4]-苯并二氮杂 -3-羧酸乙酯。 7-Chloro-5,6-dihydro-5-methyl-6-oxo-4H-imidazo[1,5-a][1,4]-benzodiazepine-3-carboxylic acid ethyl ester. 苯二氮 类拮抗药。 沙马西尼。 Sarmazenil. INN,USAN.  |