沸腾焙烧炉工艺计算示例
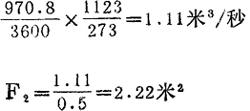
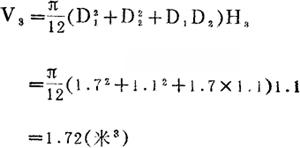
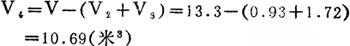
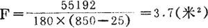
1.基础数据和条件 (1)炉床面积 取炉床焙烧强度u床为12吨(35%s)/米2·日。 热平衡表(单位:千卡/时)   (2)炉床直径  (3)沸腾层高 H1取1米;H2取1米。 (4)炉上部截面积 炉上部气速取0.5米/秒。操作温度下的炉气量:  (5)炉上部直径  (6)扩大段高度 取扩散角θ=15°。  (7)炉膛容积 炉气在炉内停留时间取12秒。 V=12×1,11=13.3(米3) (8)下部容积 V2=F2H2===0.93×1=0.93(米3) (9)扩大段容积  (10)上部体积  (11)上部高度  (12)风帽 采用8孔风帽,孔径5毫米,每个风帽的小孔截面积为157×10-6米2。小孔风速取20米/秒。小时空气量为960标准米3/时,换算成室温条件下的空气量为0.286米3/秒。风帽个数:  (13)水箱面积 根据热量衡算需导出的热量为55192千卡/时,水温为25℃,取传热系数K=180千卡/米2·时·℃,所需水箱面积:  |