网站首页  词典首页


请输入您要查询的字词:

 

字词 沸腾焙烧炉的附属设备
类别 中英文字词句释义及详细解析
释义 沸腾焙烧炉的附属设备

1.加料设备

常用有圆盘加料器和胶带加料器两种(图6-2-21)。

(1)圆盘加料器(2)胶带加料器

圆盘加料器供料均匀,容易调整,管理方便,在物料块度不大于50毫米的情况下均可适用。

表6-2-33 敞开式圆盘加料器

1-渣水混合罐 2-灰水混合罐 3-沉淀池 4-下水道

水与矿渣重量比20~30:1;每小时每立方米水需沉降面积1~2米2:澄清后出水含尘为0.4~0.6克/升,颜色基本是清的;沉淀的渣泥含水20~25%:下灰管径不小于250毫米,下灰管应伸入水面以下不少于100毫米;渣水混合物一般利用流槽自流,流槽的坡度1~2.5%,如用砂泵输送时,砂泵磨损严重,如某厂砂泵叶轮只能用14~21天,管道弯头可用45天。

表6-2-34 矿渣输送流程和操作特点

注:计算采用γ=4600公斤/米3

输送气速U是指输送管内气体的平均气速,应大于悬浮速度。

输送气速过低,造成堵塞;太高,则动力消耗大,管道磨损也大。其适宜值应由试验求得,下列公式可供估算。

U=KU

K等于5~10。平均粒径大的K较小,平均粒径小的K较大。

或:

式中 α——系数,对硫铁矿渣,取α=10~16;

β——系数,β=(2~5)×10-5,下限数值对应于干燥矿渣;

L——折算成输送管线长度,米;

γ——颗粒真重度,吨/米3

上式用于输送硫铁矿渣,当管道的折算长度小于300米时,。在生产上使用的气速一般为10~30米3/秒。由于气体温度和压力的变化,沿输送管道的全长,输送速度是不一样的,必要时应作分段验算。

混合比:单位时间内被输送的物料重量和输送气体重量之比称为混合比:

式中 G——单位时间内被输送的物料重量;

Q——单位时间内输送气体重量。

实用的混合比范围:

真空吸送 m=1~5

高压压送 m=5~50

输送风量:理论输送风量:

式中 γ——气体重度的平均值,公斤/米3

输送系统的流体阻力:包括加速物料的压力损失,输送管道的压力损失以及分离器的压力损失。

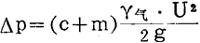
加速物料的压力损失:

式中 c——依给料方法而定的函数,一般c=1~10。

输送管道的压力损失一般都需要通过试验来确定。在缺乏试验资料时,可按下式计算:

式中 ——纯净气体通过直管时的压力损失;

k——系数,由物料性能及管道倾斜角度决定。k值应由试验求得,一般k=0.2~1,粉状物料水平输送k≈0.3~0.6。垂直管道比水平管道k值为大。

Δp=(1+k0m)Δp弯

式中 ——纯净气体通过弯头时的压力损失;

k0——系数,如下:

(4)矿渣的综合利用

硫铁矿渣的主要成分是Fe2O2和Fe3O4。根据原矿品质的不同,硫铁矿渣中有时也含有铜、钴等有色金属,所以综合利用矿渣中的有色金属十分重要。

国内硫铁矿渣约有一半以上被利用。其中80%左右用于水泥工业,其余用于炼铁。

随便看

 

离鸟网收录3541549条中英文词条,其功能与新华字典、现代汉语词典、牛津高阶英汉词典等各类中英文词典类似,基本涵盖了全部常用中英文字词句的读音、释义及用法,是语言学习和写作的有利工具。

 

Copyright © 2004-2024 vtrois.com All Rights Reserved
更新时间:2026/4/6 20:55:54