网站首页  词典首页


请输入您要查询的字词:

 

字词 泊洛福康A
类别 中英文字词句释义及详细解析
释义 泊洛福康A

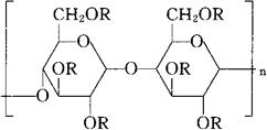
(C32H48O16)n

CAS-60840-55-3

醋酸纤维素,二丁酸酯。

Cellulose,acetate,dibutanoate.

醋酸纤维素二丁酸酯。

Cellulose acetate dibutyrate.

隐形眼镜材料(亲水性)。

Porofocon A.

USAN.

(in each D-glucose unit,R is CH3CO--in one instance and is CH3CH2CH2CO-in the other two instances)

随便看

 

离鸟网收录3541549条中英文词条,其功能与新华字典、现代汉语词典、牛津高阶英汉词典等各类中英文词典类似,基本涵盖了全部常用中英文字词句的读音、释义及用法,是语言学习和写作的有利工具。

 

Copyright © 2004-2024 vtrois.com All Rights Reserved
更新时间:2026/5/26 21:01:05