泛普法宗
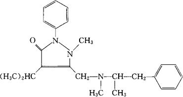
C24H31N3O=377.53 CAS-22881-35-2 4-异丙基-2-甲基-3-[[甲基(α-甲基苯乙基)氨基]-甲基]-1-苯基-3-吡唑啉-5-酮。 4-Isopropyl-2-methyl-3-[[methyl(α-methylphenethyl)amino]-methyl]-1-phenyl-3-pyrazolin-5-one. 5-[N,α-二甲基(苯乙氨基)甲基]4-异丙基去甲安替比林。” 5-[N,α-Dimethyl(phenethylamino)methyl]-4-isopropylnorantipyrine. 镇痛药,解热药。 Famprofazone. INN,BAN,USAN.  |