网站首页  词典首页


请输入您要查询的字词:

 

字词 波纹管气胎加压装置及计算
类别 中英文字词句释义及详细解析
释义 波纹管气胎加压装置及计算

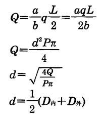
波纹气胎加压计算:

式中 ——杠杆比

Q——气胎载荷,N

q——线压,kN/m

L——辊面长,cm

d——气胎有效直径,cm

P——气压,MPa

D、D——波纹管内外直径,cm

随便看

 

离鸟网收录3541549条中英文词条,其功能与新华字典、现代汉语词典、牛津高阶英汉词典等各类中英文词典类似,基本涵盖了全部常用中英文字词句的读音、释义及用法,是语言学习和写作的有利工具。

 

Copyright © 2004-2024 vtrois.com All Rights Reserved
更新时间:2026/5/25 10:30:58