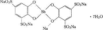
波芬[典] C12H4Na5O16S4Sb·7H2O=895.21 CAS-15489-16-4 双[4,5-二羟-1,3-苯二磺酸基[4-]-O4,O5]-锑酸[5-]五钠七水化合物。 bis[4,5-Dihydroxy-1,3-benzenedisulfonato[4-]-O4,O5]-antimonate(5-)pentasodium heptahydrate. 抗血吸虫病药。用于血吸虫病。 司锑模芬(台),双儿茶酚磺酸钠,福锑。 Stibophen,Fuadin,Sodium Antimosan,Sodium Stibophen. 波芬注射液(司锑模芬注射液)(台)。 IP,NF,USAN,MI.  |