网站首页  词典首页


请输入您要查询的字词:

 

字词 泰根的货币供应方程式
类别 中英文字词句释义及详细解析
释义 泰根的货币供应方程式

美国经济学家R.L·泰根在其《美国的货币需求与供给函数:某些结构估算》(1964年)一文中提出的货币供应理论模型。泰根认为弗里德曼一施瓦兹、P·卡甘、J·乔登、A·贝尔格、R·温特布劳等人提出的货币供应方程式都失于简单化,而现实中的货币供应量决非单独由货币供给方决定,还应包括需求方。货币供给量不是一个能由中央银行绝对控制的外生变量。

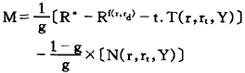
泰根的货币供应方程式可以表述为:

式中,M为货币供应量;R*为中央银行接受的实际准备金来源(净额);Rf为商业银行的自由准备金;g为活期存款的法定准备金率;r为市场利率;rd为再贴现率;t为定期存款的法定准备率;T为商业银行的定期存款;rt为定期存款利率;Y为国民收入;N为非银行社会公众对通货和活期存款的需求。从该方程式可以看出,决定货币供给量的主要因素包括:基础货币,商业银行的自由准备金,定期存款准备金,公众对通货和活期存款的需求等。其中,商业银行的自由准备金是市场利率和再贴现率的二元函数。在市场利率不变时,商业银行的自由准备金随再贴现率的上升而增加;在再贴现率不变时,商业银行的自由准备金随市场利率的上升而减少。社会公众对通货和活期存款的需求取决于短期市场利率、定期存款利率和国民收入这三个因素。在其他条件不变时,社会公众对通货和活期存款的需求随市场利率的上升、定期存款利率的上升而减少,随国民收入的增加而增加。可见,除了中央银行可以控制的基础货币R*、中央银行和商业银行共同控制的自由准备Rf以外,还有许多其他因素影响货币供给。泰根的方程式正是在更复杂的形式上阐明这一观点。货币供给量是由货币供给方(中央银行和商业银行)与货币需求方(社会公众),根据国民收入状况和市场利率水平、利率结构共同决定的。

随便看

 

离鸟网收录3541549条中英文词条,其功能与新华字典、现代汉语词典、牛津高阶英汉词典等各类中英文词典类似,基本涵盖了全部常用中英文字词句的读音、释义及用法,是语言学习和写作的有利工具。

 

Copyright © 2004-2024 vtrois.com All Rights Reserved
更新时间:2026/4/6 18:06:31