网站首页  词典首页


请输入您要查询的字词:

 

字词 泵在其直径改变后性能的变化计算
类别 中英文字词句释义及详细解析
释义 泵在其直径改变后性能的变化计算

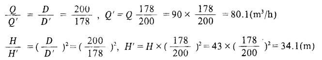
[例]4B-35型离心泵叶轮直径为200mm,转速为2900r/min,在最大效率点操作时的性能如下:Q=90m3/h,H=43m,N=15.6(kW),η=69%;4B-35a与4B-35型之间,是叶轮的直径由200mm削至178mm,求相同转速下最佳效率点处Q′、H′、N′的值,并求此泵的效率和电机功率。

解:此条件下泵性能的变化符合泵的比例率,故:

随便看

 

离鸟网收录3541549条中英文词条,其功能与新华字典、现代汉语词典、牛津高阶英汉词典等各类中英文词典类似,基本涵盖了全部常用中英文字词句的读音、释义及用法,是语言学习和写作的有利工具。

 

Copyright © 2004-2024 vtrois.com All Rights Reserved
更新时间:2026/5/25 14:41:59