网站首页  词典首页


请输入您要查询的字词:

 

字词 泵的比例率计算
类别 中英文字词句释义及详细解析
释义 泵的比例率计算

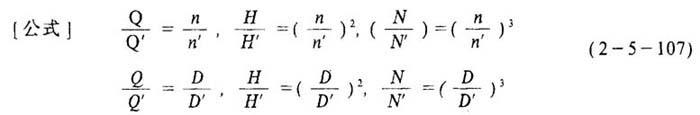
[说明]同一台泵,当离心机的转速n与叶轮直径D改变时,它的流量Q、扬程H、功率N和效率η也跟著起变化。这种变化称为泵的比例率。

式中 Q、Q′——泵在转速或直径变化前后的流量(m3/h)

H、H′——泵在转速或直径变化前后的压头(m)

N、N′——泵在转速或直径变化前后的功率(kW)

nn′——泵在直径变化前后的转速(r/min)

D1、D′——泵在转速变化前后的直径(m)

随便看

 

离鸟网收录3541549条中英文词条,其功能与新华字典、现代汉语词典、牛津高阶英汉词典等各类中英文词典类似,基本涵盖了全部常用中英文字词句的读音、释义及用法,是语言学习和写作的有利工具。

 

Copyright © 2004-2024 vtrois.com All Rights Reserved
更新时间:2026/5/25 21:50:44