泵的理论功率计算
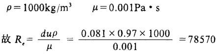
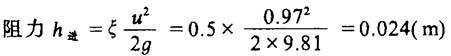
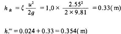
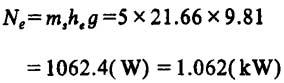
[说明]泵的有效功率的确定主要根据泵所输送流体的液位高度及管道、管件和阀门等对输送所造成的阻力进行计算。泵的理论功率的计算可分为五步: ❶ 确定流体输送能量方程式——柏努利方程式(式2-5-76); ❷ 计算管路及管件的压损(见式2-5-44); ❸ 计算流体的质量流率(见式2-5-45); ❹ 计算泵的有效功率(见式2-5-46);计算泵的轴功率(见式2-5-48)。 解:浆池液面定为截面1-1,也作水平基准面,高位槽液面为截面2-2,在1-1和2-2间能量衡算,则:  注:d-表示浆管内径 表2-5-19 水管阻力的当量长度Le值(m)  摇板式止逆阀:0.081×135=10.94(m) 90°弯头 0.081×35=2.84(m) ΣL当=10.94+2.84=13.78(m) 流体在Φ89×4mm管中流速  20℃时稀纸料的特性:  流动状态为湍流,以Re=78570, =0.00062查图2-5-1得摩擦系数λ=-0.018 由当量长度法计算阻力公式得:   ❷ 同理计算流体经过Φ57×3.5mm无缝钢管,直管长度为50m时的阻力h1″为:  ❸ 流体进出口阻力h1′″ Φ89×4mm管进口阻力,因是突然缩小,故ξ=0.5  Φ57×3.5mm管出口阻力,因是突然扩大,故ξ=1.0,因此:  ❹ 全管路总阻力h1  ❺ 纸料需接受外功增加的压头he he=ΔZ+h1=10+11.66=21.66(m) ❻ 质量流率:  ❼ 泵的有效功率:  ❽ 泵的轴功率:  |