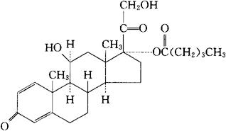
泼尼伐尔
C26H36O6=444.57 CAS-15180-00-4 (11β)-11,21-二羟-17-[(1-氧代戊基)氧]-孕甾-1,4-二烯-3,20-二酮。 (11β)-11,21-Dihydroxy-17-[(1-oxopentyl)oxy]-pregna-1,4-diene-3,20-dione. 11β,17,21-三羟孕甾-1,4-二烯-3,20-二酮17-戊酸盐。 11β,17,21-Trihydroxypregna-1,4-diene-3,20-dione 17-valerate. 肾上腺皮质激素类药。 Prednical,W 4869. USAN.  |