网站首页  词典首页


请输入您要查询的字词:

 

字词 泼尼卡酯
类别 中英文字词句释义及详细解析
释义 泼尼卡酯

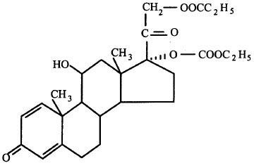
【化学名称】11,17,21-三羟基孕-1,4-二烯-3,20-二酮 17-乙基碳酸酯21-丙酸酯

【化学结构】

【药理作用】泼尼卡酯是一种不含卤素的供局部使用的强效肾上腺皮质激素类药物。

肾上腺皮质激素作用:本品有明显的消炎、抗过敏、抗渗出和止痒作用。至今的双盲对照试验表明,本品的临床疗效相当于戊酸倍他米松、脱氧米松(desoxymethasone)或氟可龙这类含卤素的肾上腺皮质激素类药物。本品能轻微的影响胶原的合成和人体皮肤成纤维细胞的生长,说明本品于患处大面积使用后出现抑制体内肾上腺皮质激素合成的全身性不良反应。对本品的最终评价尚有待于临床上进一步的研究。

【药化动力学】本品能被健康皮肤吸收0. 1%。组织的放射自显影研究表明,局部应用本品在表皮内含量最多,从皮肤表面新药临床应用手册的角质层至基底层形成明显的浓度差。动物实验表明,本品的代谢基本上与泼尼龙相似。

【适应证】炎症性皮肤病肾上腺皮质激素的局部治疗。

【剂量与用法】外用,在皮肤患处涂一薄层,1~2次/d。

【不良反应】偶见局部皮肤刺激。

【注意事项】禁用于水痘、皮肤特异性病变(如梅毒和结核)、接种反应、真菌性和细菌性皮肤感染、口周皮炎。

油膏有封闭作用,不宜大面积使用。当疗程超过4周时,孕妇和婴儿应避免使用。用于面部时应注意药膏不可接触眼部。

【制剂规格】每克软膏、霜剂或油膏内均含本品2. 5 mg。有10 g、30 g、50 g和100 g装。

本品软膏为水/油型乳剂,软膏基质由辛基十二烷醇、甘油酯、白凡士林、乙二胺四乙酸、硫酸镁和净化水组成。

本品霜剂是一种油/水型乳剂,基质由石蜡油、辛基十二烷醇、脂肪醇、吐温60、脱水山梨醇单硬脂酸酯、乳酸、乙二胺四乙酸、净化水和苄醇(作防腐剂)组成。

本品油膏含辛基十二烷醇、甘油酯和白凡士林,基质经乳化处理。

【生产厂家】德国Cassella Riedel公司。

随便看

 

离鸟网收录3541549条中英文词条,其功能与新华字典、现代汉语词典、牛津高阶英汉词典等各类中英文词典类似,基本涵盖了全部常用中英文字词句的读音、释义及用法,是语言学习和写作的有利工具。

 

Copyright © 2004-2024 vtrois.com All Rights Reserved
更新时间:2026/4/7 17:55:15