网站首页  词典首页


请输入您要查询的字词:

 

字词 泼尼卡酯[中]
类别 中英文字词句释义及详细解析
释义 泼尼卡酯[中]

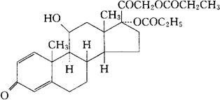
C27H36O8=488.58

CAS-73771-04-7

11β,17,21-三羟孕甾-1,4-二烯-3,20-二酮17-乙基碳酸酯,21-丙酸酯。

11β,17,21-Trihydroxypregna-1,4-diene-3,20-dione 17-ethylcarbonate,21-propionate.

皮质激素类药。

Prednicarbate.

INN,USAN.

随便看

 

离鸟网收录3541549条中英文词条,其功能与新华字典、现代汉语词典、牛津高阶英汉词典等各类中英文词典类似,基本涵盖了全部常用中英文字词句的读音、释义及用法,是语言学习和写作的有利工具。

 

Copyright © 2004-2024 vtrois.com All Rights Reserved
更新时间:2026/4/7 21:17:00