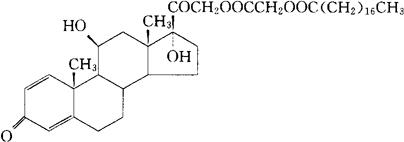
泼尼松龙司替酸酯
C41H64O8=684.95 CAS-5060-55-9 11β,17,21-三羟孕甾-1,4-二烯-3,20-二酮-21-甘醇酸酯的硬脂酸酯。 Stearate ester of 11β,17,21-trihydroxypregna-1,4-diene-3,20-dione-21-glycolate. 肾上腺皮质激素类药,消炎镇痛药,抗过敏药。 Prednisolone Steaglate,Prednisolone Stearoylglycolate. INN,BAN,DCIT,GDP,IP,JP,USAN,USP,USSRP,MI.  |