泼尼莫司汀
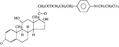
C35H45Cl21NO6=646.65 CAS-29069-24-7 (11β)-21-[4-[4-[双(2-氯乙基)氨基]苯基]-1-氧代丁氧]-11,17-二羟-孕甾-1,4-二烯-3,20-二酮。 (11β)-21-[4-[4-[bis(2-Chloroethyl)amino]phenyl]-1-oxobutoxy]-11,17-dihydroxy-pregna-1,4-diene-3,20-dione. 11β,17,21-三羟孕甾-1,4-二烯-3,20-二酮21-[4-[对-[双(2-氯乙基)氨基]苯基]丁酸酯]。 11β,17,21-Trihydroxypregna-1,4-diene-3,20-dione 21-[4-[p-[bis(2-chloroethyl)amino]phenyl]butyrate]. 抗肿瘤药。 Prednimustine. INN,USAN.  |