网站首页  词典首页


请输入您要查询的字词:

 

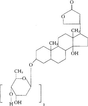
字词 洋地黄毒甙[典]
类别 中英文字词句释义及详细解析
释义 洋地黄毒甙[典]

C41H64O13=764.95

CAS-71-63-6

洋地黄毒配基-3-三洋地黄毒糖甙。

Digitoxigenin-3-tridigitoxoside.

强心药。用于充血性心力衰竭。

狄吉妥辛,洋地黄毒素,毛地黄毒苷(台)。

Digitoxin,Cardidigin,Diigitaline,DigitoSsina.

洋地黄毒甙片,毛地黄毒甙锭,洋地黄注射液(洋地黄毒苷注射液,毛地黄毒甙注射液)。

INN,BP,DCIT,EP,FP,GDP,JP,USAN,USP,USSRP,MI.

随便看

 

离鸟网收录3541549条中英文词条,其功能与新华字典、现代汉语词典、牛津高阶英汉词典等各类中英文词典类似,基本涵盖了全部常用中英文字词句的读音、释义及用法,是语言学习和写作的有利工具。

 

Copyright © 2004-2024 vtrois.com All Rights Reserved
更新时间:2026/4/7 13:01:30