网站首页  词典首页


请输入您要查询的字词:

 

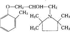
字词 洛土卡因
类别 中英文字词句释义及详细解析
释义 洛土卡因

C18H29NO2=291.43

CAS-52304-85-5

2,2,5,5-四甲基-α-[(邻-甲苯氧)甲基]-1-吡咯烷乙醇。

2,2,5,5-Tetramethyl-α-[(o-tolyloxy)methyl]-1-pyrrolidineethanol.

局部麻醉药。

Lotueaine,MY-33-7(as Hydrochloride).

INN,DCF,USAN.

随便看

 

离鸟网收录3541549条中英文词条,其功能与新华字典、现代汉语词典、牛津高阶英汉词典等各类中英文词典类似,基本涵盖了全部常用中英文字词句的读音、释义及用法,是语言学习和写作的有利工具。

 

Copyright © 2004-2024 vtrois.com All Rights Reserved
更新时间:2026/5/31 23:53:04