网站首页  词典首页


请输入您要查询的字词:

 

字词 活塞杆
类别 中英文字词句释义及详细解析
释义 活塞杆

(1)活塞杆的结构

A.活塞杆的杆体

活塞杆的杆体分为实心杆和空心杆两种。实心杆加工简单,采用较多。空心杆多用于d/D比值较大或杆体内有位置传感器等场合。

活塞杆的杆体结构见图23.3-12。

(a)实心活塞杆;(b)空心活塞杆

B.活塞杆的外端结构

活塞杆的外端是液压缸用以与负载连接的部位,可根据液压缸的安装连接方式有多种结构型式。

常用的活塞杆的外端结构型式见图23.3-13。

(a)光杆(带销孔);(b)球头;(c)圆形双耳环;(d)单耳环(带球铰);(e)方形双耳环;(f)单耳环;(g)外螺纹(带肩);(h)外螺纹(无肩);(i)内螺纹

(A)活塞杆的外端螺纹型式和尺寸系列应符合国家标准GB2350-80的规定。

·活塞杆外端螺纹型式:

内螺纹(图23.3-14);

外螺纹(带肩)(见图23.3-15);

外螺纹(无肩)(见图23.3-16)。

·活塞杆外端螺纹尺寸系列见表23.3-6。

表23.3-6 液压缸活塞杆螺纹尺寸系列(摘自GB2350-80) 单位:mm

1-卡环;2-轴套;3-弹簧圈;4-活塞杆;5-活塞;6-螺钉;7-锁紧螺母

上述各种连接结构型式还须考虑活塞与活塞杆之间的静密封。

(2)活塞杆直径(杆径)计算

A.初步确定活塞杆直径d

对于双作用单活塞杆的液压缸,其活塞杆直径d,可根据往复运动速度比φ(即面积比)的要求,初步按下式计算活塞杆直径d。

式中 D——缸筒内径(缸径)(m);

φ——速度比(面积比)(见表23.1-6)。

表23.1-6 单活塞杆液压缸两腔面积比(速度比)φ(摘自GB7933-87)

如无速度比的要求,可根据液压缸的工作压力和拉力要求,按式23.1-6计算活塞杆直径d值。最后,d值应根据表23.1-5“液压缸活塞杆外径尺寸系列”圆整为标准值。

B.活塞杆的强度计算

在活塞杆的强度计算中,通常以液压缸的活塞杆端部和缸筒后端盖均为耳环铰接式安装方式作为基本情况来考虑。并令活塞杆全部伸出时,活塞杆端部与负载连接点与液压缸支承点间的距离假定为LB

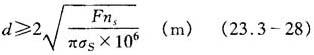
当LB≤10d时,液压缸为短行程型,主要须验算活塞杆压缩或拉伸强度:

式中 F——液压缸的最大推力(或拉力)(N);

σS——材料的屈服强度(MPa);

ns——安全系数一般ns=2~4;

d——活塞杆直径(m)。

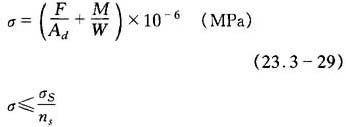
应尽量避免活塞杆承受力矩,如果在工作时,活塞杆所承受的弯曲力矩不可忽略时(例如偏心载荷等),则可按下式计算活塞杆的应力

式中 Ad——活塞杆断面积(m2);

W——活塞杆断面模数(m3);

M——活塞杆所承受的弯曲力矩(N·m)。

如果仅承受轴向偏心载荷F时:

M=FYmax (N·m)

式中Ymax为F作用线至活塞杆轴线最大挠度处的垂直距离(m)。

σS、ns、F各值意义和单位同式(23.3-28)。

C.活塞杆弯曲稳定性验算

当LB≥(10~15)d时,须考虑活塞杆的弯曲稳定性验算。

活塞杆通常是细长杆体,因此活塞杆的弯曲计算一般可按“欧拉公式”进行。

活塞杆弯曲失稳临界负荷FK,可按下式计算

在弯曲失稳临界负荷FK时,活塞杆将纵向弯曲。

因此,活塞杆最大工作负荷F应按下式验证

式中 E——活塞杆材料的弹性模数(MPa),钢材:E=210×103(MPa);

J——活塞杆横截面惯性矩(m4)

圆截面:

K——安装及导向系数(见表23.3-7),

nK——安全系数,一般取 nK=3.5,

LB——安装距(见表23.3-7)(m)。

表23.3-7 液压缸安装及导向系数K

(3)活塞杆的材料

活塞杆常用的材料及机械性能见表23.3-8。另外,由专业厂生产的高精度冷拔活塞杆,可直接用于液压缸。

表23.3-8 活塞杆常用的材料及机械性能

常州冷拔油缸厂、成都油缸厂可提供高精度冷拔活塞杆,其规格及性能参数见表23.3-9。

表23.3-9 高精度冷拔活塞杆产品规格

(4)活塞杆的加工要求

·活塞杆表面须镀硬铬,镀层厚度15~25μm,也有的要求镀层厚度30~50μm。防腐要求特别高的则要求先镀一层软铬或镍,镀后再镀硬铬抛光。

·在恶劣的、腐蚀性极强的工作环境中,活塞杆喷涂一种名为Ceramax-1000陶瓷涂层,具有比镀硬铬的活塞杆在强度、抗腐蚀和抗磨损方面有更好的特性。

·活塞杆外径公差f7~f9;直线度≤0.02mm/100mm;表面粗糙度Ra≤0.3~0.4μm,精度要求高时Ra≤0.1~0.2μm。

·活塞杆外径d的圆柱度公差值,应按8级精度选取。

随便看

 

离鸟网收录3541549条中英文词条,其功能与新华字典、现代汉语词典、牛津高阶英汉词典等各类中英文词典类似,基本涵盖了全部常用中英文字词句的读音、释义及用法,是语言学习和写作的有利工具。

 

Copyright © 2004-2024 vtrois.com All Rights Reserved
更新时间:2026/4/7 12:13:36