活性艳橙K-GN
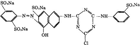
【国外相应商品名】 Cibacron Brilliant Orange G-P(CGY)。 【结构式】  【产品质量标准】 企业标准(天津染化一厂等)。 外观 橙色粉末 强度 为标准品100±3 色光 与标准品近似到微 不溶物含量 ≤1% 水分含量 ≤5% 溶解度(50℃) 50g/L pH值 5~7 水解染料相对含量 ≤5% 稳定性(强度下降) ≤5(色光基本无变化) 印花固色率 ≥65% 细度(通过80目筛残余物含量) ≤5% 【功能与特点】 于90℃在碱性介质中与纤维素键合。在水中有很好的溶解度,对硬水不敏感。 【用途和用法】 可用于皮革染色。 【使用注意事项】 宜存放于阴凉干燥处。 【主要生产厂家】 天津染化一厂,上海染化一厂和山东济宁染料厂。 |