网站首页  词典首页


请输入您要查询的字词:

 

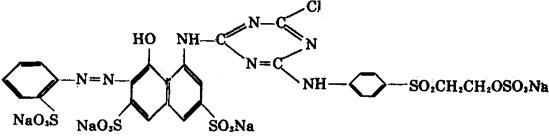
字词 活性艳红KM-2B
类别 中英文字词句释义及详细解析
释义 活性艳红KM-2B

【别名】 活性艳红M-2B。

【结构式】

【产品质量标准】 企业标准(上海染化八厂等)。

外观 紫红色均匀粉末

色光 与标准品近似

强度 为标准品100±3

在棉织物上的印花坚牢度 符合标准品

水分含量 ≤7%

不溶物含量 ≤1%

溶解度(50℃) ≥50g/L

细度(通过80目筛残余物含量)≤5%

【功能与特点】 M型活性染料为多活性基团的染料,上染速度快,且较完全,比K、KN、X型染料的固色率高得多。既耐碱性水解又耐酸性水解。对纤维的柔和力低,易于染色和洗涤。

【用途和用法】 可用于皮革染色。

【使用注意事项】 宜存放于阴凉干燥处。防止受热受潮。

【主要生产厂家】 上海染化八厂。

随便看

 

离鸟网收录3541549条中英文词条,其功能与新华字典、现代汉语词典、牛津高阶英汉词典等各类中英文词典类似,基本涵盖了全部常用中英文字词句的读音、释义及用法,是语言学习和写作的有利工具。

 

Copyright © 2004-2024 vtrois.com All Rights Reserved
更新时间:2026/4/6 17:18:56