网站首页  词典首页


请输入您要查询的字词:

 

字词 派煦指数公式
类别 中英文字词句释义及详细解析
释义 派煦指数公式

简称“派氏式”或“P式”。

德国统计学家派煦赞同拉氏指数公式而提出是一种物价指数公式。它是以计算期数量为权数的加权综合式。

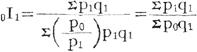
其公式为:

式中:I为指数,p为物价,q为销售量。

派氏公式可由三种加权取得。

(1)以q1加权的综合式,即得到派氏式:

(2)以pq1加权的算术平均式,也可得到派氏式:

(3,以p1q1加权的调和平均式,也可得到派氏式:

随便看

 

离鸟网收录3541549条中英文词条,其功能与新华字典、现代汉语词典、牛津高阶英汉词典等各类中英文词典类似,基本涵盖了全部常用中英文字词句的读音、释义及用法,是语言学习和写作的有利工具。

 

Copyright © 2004-2024 vtrois.com All Rights Reserved
更新时间:2026/4/7 1:01:28