流体流速的测量
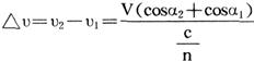
比多管是测量流速用的一种仪器,有多种式样,但基本原理相同,其中的一种如上图所示。 把简单的比多管插入待测其流速的A处的水平前方附近,由伯努利方程知   注意到hA=hB,比多管口的B处vB=0,即可由上式得  式中C为比多管的修正系数,由实验来测定。 用比多管测量流速多少要扰乱流体原来的流动情况,现已设计出各种非接触式的激光流速仪,在测量时可不影响流体原来的流动情况,其基本原理如图所示:  入射光经分束板(半反射半透射的玻璃板)后分成两束光束1与2,光束1直接照射到欲测流速的C处(流速为V),光束2经反射板反射后照到C上,光电探测器D甲来测量光束1及2在C上被散射后散射入D的散射光。由于散射物C是以速度 运动的。 故有多普勒效应,相应于光束,及2引起的散射光的频率变化分别为  式中c是真空中的光速,n是流体的折射系数,这两部分散射光沿CD方向会合后产生拍频  △v可由D测得,由上式求得流速V。 |