浆料滤水阻力的测试计算
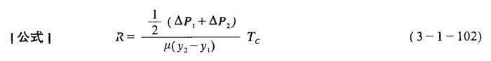
[说明]在恒定的试验条件下,滤水阻力与打过浆的浆料纤维的比表面积成正比。滤水阻力通常应用校正的滤水时间TC作计算的基数。滤水时间是在标准条件下,在纸页成型器内从浆料中滤出水所需要的时间。测定温度控制在20℃。英国的Campbell研制的电子计时设备在北美及欧洲市场上已作为专利测试仪器销售。   式中 R-滤水阻力 △P1-△P2-滤水从开始到终了时透过纸页成形的压力降 y2-y1-在测试中水平面下降的距离 μ-试验温度下水的粘度 Tc-对纸页成形器的滤水阻力校正后的滤水时间 T-测量的滤水时间 Tw-只用水测量的滤水时间 |