网站首页  词典首页


请输入您要查询的字词:

 

字词 浆板及浆块销售重量的测定计算
类别 中英文字词句释义及详细解析
释义 浆板及浆块销售重量的测定计算

[说明]浆板及浆块销售重量的测定计算索引见表3-3-3。

表3-3-3 浆板及浆块销售重量的测定计算

浆板(浆块)收货量短缺或盈余的百分率计算

(一)盈余百分率的计算

式中 △G-盈余量(t)

G-发货重量(t)(以风干计)

(二)短缺百分率的计算

式中 △G′-短缺量(t)

(三)盈余(或短缺)量的计算

式中 G1-实际风干浆重(t)

G-发货风干重量(t)

+、一-分别表示盈余和短缺

(四)实际风干量的计算

式中 G3-每件浆样品的风干浆量(kg)

m-浆板总件数(件)

(五)每件浆板样品风干浆量计算

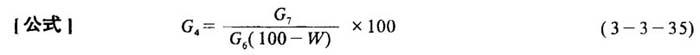
式中 G4-测定水分浆样的风干浆含量(%)

G5-抽样件数重量(kg)

m-抽样件数

(六)测定水分浆样的风干浆含量计算

式中 G6-测定水分的浆样湿重(g)

G7-测定水分的绝干浆重(g)

(七)计算实例

[例]某厂收到一批浆板共4040件(m),发货重量为390.00t(以风干浆计)(G);抽样84件(m1),其重量为13660kg(G5);测定水分的浆样湿重为8075g(G6),绝干重4365g(G7)。计算这批浆板短缺或盈余百分率(风干浆水分含量以10%计)。

解:测定水分浆样的风干浆含量:

每件浆板样品的风干浆重:

这批浆板实际的风干浆量

随便看

 

离鸟网收录3541549条中英文词条,其功能与新华字典、现代汉语词典、牛津高阶英汉词典等各类中英文词典类似,基本涵盖了全部常用中英文字词句的读音、释义及用法,是语言学习和写作的有利工具。

 

Copyright © 2004-2024 vtrois.com All Rights Reserved
更新时间:2026/5/25 12:16:49