测量物质的密度
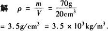
1.量筒的使用方法: (1)每一个量筒(或量杯)具有一定的量程,因此在测量时,首先要根据被测物体选择合适的量筒(或量杯). (2)观察量筒(或量杯)上的刻度,每小格代表多少立方厘米,确定记录数据的单位. (3)读数时,视线要与液面相平. (4)不估读.量筒(或量杯)里液体的面呈凹形,凹面的底边靠近哪条刻线,就读那条刻线的数值. 2.用量筒测不规则固体的体积的方法: (1)用量筒盛入适量的水,水的多少以能完全浸没固体为准.读出水的体积V0. (2)将固体(系一线绳以便取出)放入水中,待液面静止时,再读此时液体与固体的总体积V. (3)计算固体体积V固=V-V0. 此种方法称为“排液法”. 3.测量固体的质量和液体的质量用天平,但应注意两点: (1)测量固体的质量应放在测其体积之前,因为固体放入量筒内测体积之后会变湿,这样再测质量便会产生偏差. (2)用天平测液体质量,是用间接测量的方法,将液体盛入烧杯中,先测液体与烧杯总质量m1,待倒出量筒内一部分液体后再次读出其体积,然后测剩余的液体和烧杯质量m2,则被测液体的质量: m=m1-m2. 4.测量密度的原理是ρ=m/V 例1 图10-2中所示液体的体积是__.量筒的最大量程是__.50ml,100ml) 例2 根据表中所列数据计算出这种物质的密度.   |