网站首页  词典首页


请输入您要查询的字词:

 

字词 测量电子电荷的密里根方法
类别 中英文字词句释义及详细解析
释义 测量电子电荷的密里根方法

密里根于1911年首先用油滴实验测定了电子电荷,该实验的基本方法是,让小油滴(例如由喷雾器形成)在水平放置的平行板电容器的两水平极板之间作铅垂方向的运动,此中的空气可因受到X射线的照射而发生电离,这样使油滴带上电荷q。

当极板上不施加电压时,小油滴在重力、空气浮力及粘滞阻力的作用下最后以匀速vg下降,此时按斯托克斯定律应有

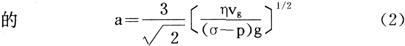
式中m及a分别是油滴的质量及半径,ρ和η是空气的质量密度及粘滞系数,由此可得不能直接测量

式中σ是油的质量密度。若在极板上施加电压V(从而在极板之间有均匀的电场强度ε)使油滴向上运动,设最后的匀速为VE,则此时有

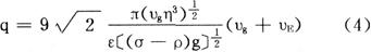
(1)式与(3)式相加后得

(2)式代入(4)得

前已述及,用X射线照射来改变q,在不同的q下所作实验测定表明各种q只能为某一基本单元的整数倍,该基本单元就是电子电荷。

径。若测得第k个亮环的半径为rk,第k+m个亮环的半径为rk+m,则曲率半径为

以上式中λ0为照射光的波长

随便看

 

离鸟网收录3541549条中英文词条,其功能与新华字典、现代汉语词典、牛津高阶英汉词典等各类中英文词典类似,基本涵盖了全部常用中英文字词句的读音、释义及用法,是语言学习和写作的有利工具。

 

Copyright © 2004-2024 vtrois.com All Rights Reserved
更新时间:2026/4/6 14:57:25