海南粗榧
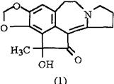
【名称出处】:《新华本草纲要》 【概况】: 基源 为三尖杉科三尖杉属海南粗榧的枝、叶和种子。 三尖杉属植物全世界有9种,产于亚洲;中国有7种。 原植物 海南粗榧Cephalotaxus hainanensis Li,又名薄叶蓖子杉(《海南植物志》),红壳松(海南)。 形态 乔木,高10~20m,可达25m;树皮淡褐色或褐色,间或黄褐色或红紫色,平滑而薄。 叶条形,排成2列,质地较薄,急尖或近渐尖,基部圆截形或圆形,干后边缘微向下反卷,下面有2条白色气孔带。 种子通常微扁,倒卵状椭圆形或倒卵圆形,长2.2~2.8cm,顶端有突起的小尖头,成熟前假种皮绿色,熟时红色。种子8~9月成熟。 生境与分布 散生于海拔1100m以下的南亚热带及热带山地雨林中。分布于海南、广东、广西、云南东南部和西藏东南部。 。【化学】: 主要含有生物碱类。 从抗癌有效成分中,分出17种生物碱,其中11种为已知生物碱,6种为新化合物。另外,还有2种非生物碱新化合物。海南粗榧新碱(Hainanensine)(1)对动物肿瘤P-388有一定疗效。  参考文献 药学通报1980;15(12):39 。【临床应用】: 《全国中草药汇编》:“海南粗榧总生物碱制剂对急性及慢性粒细胞白血病和恶病性淋巴瘤等有一定疗效。” |