网站首页  词典首页


请输入您要查询的字词:

 

字词 海巴青霉素V
类别 中英文字词句释义及详细解析
释义 海巴青霉素V

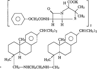
(C16H18N2O5S)2·C42H64N2=1297.76

CAS-6591-72-6

CAS-87-08-1(penicillin V)

[2S-(2α,5α,6β)]-3,3-二甲基-7-氧代-6-[(苯氧乙酰)氨基]-4-硫杂-1-氮杂双环[3.2.0]庚烷-2-羧酸,与[1R-[1-[(1R*,4aS*,10aR*),4aB,10aα]]-N,N双-[1,2,3,4,4a,9,10,10a-八氢-1,4a-二甲基-7-(1-甲基乙基)-1-菲基]甲基]-1,2-乙烷二胺(2∶1)化合物(主成分)。

[2S-(2α,5α,6β)]-3,3-Dimethyl-7-oxo-6-[(phneoxyacetyl)amino]-4-thia-1-azabicyclo[3.2.0]heptane-2-carboxylic acid,compd with[1R-[1-[(1R*,4aS*,10aR*),4aβ,10aα]]-N,N′-bis-[1,2,3,4,-4a,9,10,10a-octahydro-1,4a-dimethyl-7-(1-methylethyl)-1-phenanthrenyl]methyl]-1,2-ethanediamine(2∶1)(principal component).

3,3-二甲基-7-氧代-6-(2-苯氧乙酰胺基)-4-硫杂-1-氮杂双环[3.2.0]庚烷-2-羧酸与N,N-双[(1α,2,3,4,4aβ,9,10,10aα-八氢-7-异丙基-1,4α-二甲基-1-菲基)甲基]乙二胺(2∶1)的化合物(主成分)。

3,3-Dimethyl-7-oxo-6-(2-phenoxyacetamido)-4-thia-1-azabicyclo[3.2.0]heptane-2-carboxylic acid compound with N,N′-bis[(1α,2,3,4,4aβ,9,10,

10aα-octahydro-7-isopropyl-1,4a-dimethyl-1-phenanthryl)methyl]ethylenediamine(2∶1)(principalcomponent).

抗生素类药,抗菌药。

Penicillin V Hydrabamine,Penicillin Hydrabamine Phenoxymethyl,Phenoxymethylpenicillin V Hydrabamine.

USAN,USP.

随便看

 

离鸟网收录3541549条中英文词条,其功能与新华字典、现代汉语词典、牛津高阶英汉词典等各类中英文词典类似,基本涵盖了全部常用中英文字词句的读音、释义及用法,是语言学习和写作的有利工具。

 

Copyright © 2004-2024 vtrois.com All Rights Reserved
更新时间:2026/5/26 17:15:21