网站首页  词典首页


请输入您要查询的字词:

 

字词 海水电容率
类别 中英文字词句释义及详细解析
释义 海水电容率

电容率(介电常数)一般用符号ε表示。

ε=εr·εo。其中,εo=107/4πc2=8.854×10-12法/米,为真空电容率;c为光速;εr为相对电容率(相对介电常数)。εr=C/C0,其中C为有电介质时的电容;C0为没有电介质(真空)时的电容。

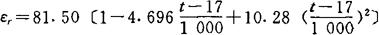
Dorsey由实验数据得出低频下海水的相对电容率εr的经验公式:

当压力比一个大气压大时,每增加1000千克/厘米2,εr约增加5%。

Dorsey还参照相对电容率的理论公式形式,综合实验数据,给出另一个经验公式:

其中,ρ为海水的密度;T为海水的绝对温度。此公式仅适用于低频电场,对高频还要加上频率改正。

随便看

 

离鸟网收录3541549条中英文词条,其功能与新华字典、现代汉语词典、牛津高阶英汉词典等各类中英文词典类似,基本涵盖了全部常用中英文字词句的读音、释义及用法,是语言学习和写作的有利工具。

 

Copyright © 2004-2024 vtrois.com All Rights Reserved
更新时间:2026/4/9 7:35:24