海水的密度
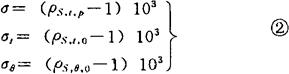
单位体积海水的质量。 海水的密度取决于海水盐度、温度和压力,在c·g·s单位制中,海水的密度稍大于1,一般为1.0255-1.0285,精确到5位小数。海洋学上计算密度(ρ)的公式常用下式表示: σ=(ρ-1)103 ❶ 由此可知,若ρ=1.02427,则σ=24,27 由于海洋学工作者提出了两种类型的温度(现场温度和位温),所以相应的密度有三种:  σ表示现场密度,是盐度、温度和压力的函数;σt是大气压下(在海洋学中,把标准大气压当作P=0)海水的密度,称为“条件密度”;σθ是水块绝热上升到一个大气压时所具有的密度,称为“位势密度”。由于测量技术的进步和研究工作的需要,根据经验公式计算,海水的密度值取9位数。比如ρ(35,25,1000)=1062.53817。 国际海洋物理科学协会专门工作组建议废除σ、σi等符号,因为国际单位制密度的单位为千克/米3,所以提出另一参量,称为“密度超量”。详见“密度超量”。 |