海洋内部热传输
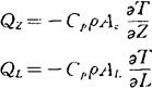
海洋内部垂向与水平向的热量交换。 主要通过垂向与水平向的湍流扩散和海流输送来实现。湍流热扩散可表示为  式中,Q2和QL分别表示单位时间内通过垂向和水平向上单位面积的热通量;Cp与ρ分别为海水的定压比热与密度;AZ和AL分别为垂向与水平向的湍流系数(又称导温系数);负号表示热传输方向与温度梯度( , )方向相反。 在海面处(Z=0),QZ即为海面热通量Qw。海洋中热交换的效率是由交换系数来表征。 由于湍流热交换是通过海水微团进行的,而分子热交换是借助分子运动进行的,因此湍流热交换系数比分子热交换系数大103-106倍。湍流热交换的速率,由于方向的不同而不同。 AZ比AL小很多,但由于温度的水平梯度远小于垂直梯度,因此两个方向的湍流热交换是同样重要的。在水平方向借助海流作用进行的热量传输是很可观的,通常以海洋热平流量来表征其产生的热效应。 海洋热平流可以定义为:给定区域内在海流作用下通过与流向垂直的两个界面的水平热通量之差,可以表示为  式中,L为流速; 为水平温度梯度。热平流量的大小决定于流速和水平温度梯度,其性质则由水平温度梯度决定。当进入第一界面的热通量(Qu1)大于从第二界面流出的热通量(Qu2)时,为暖平流,反之则为冷平流;暖平流使给定区域获得热量,冷平流则使该区域失热。换言之,热平流的存在必然使该区域产生热效应,从而对深层和大气产生影响。 由热力因素引起的对流作用和动力因素引起的上升流与下降流,也是海洋内部热传输的重要方式。 |