网站首页  词典首页


请输入您要查询的字词:

 

字词 海风藤
类别 中英文字词句释义及详细解析
释义 海风藤

【概况】:

异名 风藤、巴岩香(《中药志》)。

基源 为胡椒科胡椒属植物风藤及山蒟的藤茎。

原植物 风藤Piper futokadsura Sieb.et Zucc.[P.kadsura(Choisy)Ohwi,P.hancei Maxim.]和山蒟Piper hancei Maxim.

形态 风藤为木质藤本,茎有纵棱,节上生根。叶近革质,具白色腺点,叶片卵形或长卵形,长6~12cm,宽3.5~7cm,顶端短尖或钝,基部心形,叶面无毛,背面常具短柔毛;叶脉5条;叶柄长1~1.5cm;叶鞘仅限于基部具有。

花单性,雌雄异株,聚集成与叶对生的穗状花序;雄花序长3~3.5cm;总花梗略短于叶柄,花序轴被微硬毛;苞片圆形,近无柄,盾状,叶面具白色粗毛;雄蕊2~3枚,花丝短。雌花序短于叶片;总花梗与叶梗等长;苞片和花序轴与雄花序的相同;子房球形,离生,柱头3~4,线形,被短柔毛。浆果球形,直径3~4mm。花期5~8月。(图见《中国植物志》.第20卷.第1分册.49页.图版16∶7-9)

生境与分布 生于低海拔林中,攀援于树上或石上。

分布于中国台湾、福建、浙江等。日本、朝鲜亦有分布。

山蒟与风藤的主要不同之处为除花序轴和苞片柄外均无毛;叶脉5~7条,叶鞘长约为叶柄的1/2;雄蕊2枚,柱头4,稀3。生于山地溪涧边、密林或疏林中,攀援于树上或石上。

分布于浙江、福建、江西、湖南、广东、广西、贵州及云南。。【生药】:

采集 8~10月割取茎藤,除去根及叶,晒干。

药材主产于福建、浙江、台湾。

鉴别 茎藤扁圆柱形,微弯曲,长15~60cm,直径3~7mm;表面灰褐色或褐色,粗糙,有纵向纹理,节膨大,节间长4.5~9cm,节上不定根长短不等。

质轻而脆,折断时纤维状,皮部窄,木部灰黄色,有许多小孔,射线放射状,灰白色,木部与皮部交界处小洞成环状,中央有灰褐色髓。气清香,味辛。以茎条粗壮、均匀、气香者为佳。

贮藏 置干燥处。

。【化学】:

风藤茎、叶含细叶青蒌藤素(Futoxide,巴豆环氧素,Crotepoxide)(1)、细叶青萎藤烯酮(Futoenone)、细叶青蒌藤醌醇(Futoquinol)、细叶青蒌藤酰胺(Futoamide),其中细叶青萎藤素含量较高,且有抑制肿瘤的作用,还含β-谷甾醇、豆甾醇及挥发油,油中主含α-蒎烯(α-Pinene)、β-蒎烯、柠檬烯(Limonene)、香桧烯(Sabinene)、莰烯(Camphene)、异细辛醚(Isoasarone)[1]

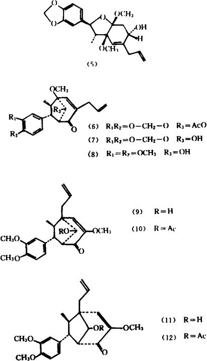
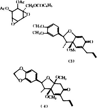
叶中含昆虫拒食剂胡椒烯酮(Piperenone)(2)[2]和异细辛脑(Isoasarone)[3],抑制小鼠路易士肺癌的细叶青蒌滕素[4]。木脂素Isofutoquinol A、B,Isodihydrofutoquinol A和B[5]。血小板活化因子(PAF)拮抗剂5-烯丙基-2(3,4-二甲氧基苯基)-3aα-甲氧基-3-甲基-2,3,3a,6-四氢-6-氧代苯并呋喃(5-Allyl-2(3,4-dimethoxyphenyl)-3aα-methoxy-3-methyl-2,3,3a,6-tetrahydro-6-oxobenzofuran)[6]。新木脂素海风藤酮(Kadsurenone)(3)、海风藤任甲(Kadsurin A)(4)、海风藤任乙(Kadsurin B)(5)[7,8]。其中海风藤酮是血小板活化因子拮抗剂[9]。从海风藤中(P.kadsura)还分得二环辛烷类(Bicyclooctanoid)新的木脂素,有海风藤素(Kadsurenin)A(6)、B(7)、C(8)、G(9)、H(10)、I(11)、J(12)[10~12]

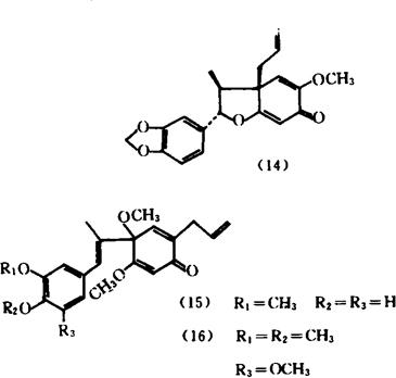
从山蒟藤茎中分离得到5种木脂素类化合物,即海风藤酮(Kadsurenone)、玉兰素(Denudatin)B和山蒟素(Hancinone;7S,8R,3′S-1′-烯丙基-3′-甲氧基-7-(3,4-次甲二氧基苯基)-7,8,3′,6′-四氢-6′-氧苯并呋喃)[13],山蒟醇(Hancinol)(13)和布蔷薇木素(Burchellin)(14)以及3个生物碱:风藤酰胺(Futoamide)、荜拔明宁碱(Piperlonguminine)和N-异丁基-反-2-反-4-癸二烯酰胺[14]。山药中还含有2个木脂素山蒟素B(Hancinone)(15)和山蒟素C(Hancinone C)(16)以及细叶青萎藤素(Crotepoxide)、β-谷甾醇等[15]。后又分得山药素D(Hancinone D)[16]

参考文献 [1] Phytochemistry 1969;8(1):321 [2] CA 1975;83:114121j [3] CA 1976;85:74906b [4] Tetrahedron Lett 1975;(37):3187 [5] Tetrahedron Lett 1976;(48):4371 [6] CA 1985;103:200867v [7] Phytochemistry 1985;24(9):2079 [8] J Chromatogr 1989;484:369 [9] CA 1989;111:33353f [10] Chin Chem Lett 1992;3(7):521 [11] Chin Chem Lett 1992;3(8):635 [12] Chin Chem Lett 1991;2(8):623 [13] 药学学报 1986;21(5):361 [14] 药学学报 1987;22(3):196 [15] 植物学报 1987;29(3):293 [16] 药学学报 1989;24(6):438。【药理】:

海风藤用于治疗风湿和关节炎,以血小板活化因子(PAF)受体结合实验和PAF血小板聚集实验测定表明海风藤中所含的成分大多有明显的抑制作用[1~3]

本品所含的细叶青萎藤素(又名巴豆环氧素)具有抑制肿瘤生长作用。对小鼠Lewis肺癌,剂量为200mg/kg,其T/C值为36%,对大鼠瓦克癌256,剂量为200mg/kg、300mg/kg和450mg/kg时,其T/C值分别为50%、33%和22%[4]

参考文献 [1] Phytochemistry 1985;24(9)∶2079 [2] 药学学报 1986;21(5)∶361 [3] 药学学报 1989;24(6)∶438 [4] 植物药有效成分手册.人民卫生出版社,1986∶263。【药性】:

性味 辛、苦,微温。

《中药志》:“辛,微温。”

归经 《本草再新》:“入心、肾二经。”

功效 祛风湿,通经络,理气。

主治 风寒湿痹,关节疼痛,筋脉拘挛,跌打损伤,哮喘,久咳。

❶ 《本草再新》:“行经络,和血脉,宽中理气,下湿除风,理腰脚气,治疝,安胎。”
❷ 《浙江中药手册》:“宣痹,化湿,通络舒筋。治腿膝瘘痹,关节疼痛。”

用法用量 内服:煎汤,6~15g;或浸酒。。

【临床应用】:

配伍应用 ❶ 配络石藤,治风湿化热,关节肿痛,全身游走性疼痛。

❷ 配青凤藤、桂枝、秦艽,治风寒湿痹,筋脉拘挛。
❸ 配鸡血藤、钩藤、威灵仙,治络脉不和,气血循行不畅,肢体麻木,疼痛及半身不遂。

❹ 配大血藤、竹根七、山沉香,治跌打损伤。

❺ 配追地风,治哮喘。

方选和验方 ❶ 《四川中药志》:“治跌打损伤:海风藤、大血藤、竹根七、山沉香、红牛膝、地乌龟。泡酒服。


❷ 《全国中草药新医疗法展览会技术资料选编·内科》:“治支气管哮喘,支气管炎:海风藤、追地风各60g。用白酒500g,浸泡1周。

日服2次,每次10ml,早晚空腹服。

服时不可加温,否则失效。心脏病人及孕妇忌服,感冒及月经期暂停服。”
❸ 《陕西中医验方选编》:“治风湿腿膝痛:海风藤、青凤藤、牛膝、千年健、追地风各15g,麝香0.6g,桂枝6g,烧酒500g。将药和酒装入罐内,放锅内加水蒸1小时,取出,每日2次,每次50ml,口服。”
❹ 《中国民间草药方》:“治小儿哮喘:海风藤6g,追地风6g,瓜蒌仁3g,橘红3g。将药物研细末,调拌芝麻油,外敷贴背心、胸心处。

单方应用 《福建药物志》:“治风湿性关节炎:海风藤全草30g,水煎服。”

随便看

 

离鸟网收录3541549条中英文词条,其功能与新华字典、现代汉语词典、牛津高阶英汉词典等各类中英文词典类似,基本涵盖了全部常用中英文字词句的读音、释义及用法,是语言学习和写作的有利工具。

 

Copyright © 2004-2024 vtrois.com All Rights Reserved
更新时间:2026/5/31 18:30:10