浸水效应
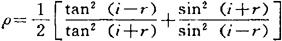
在水下摄影光学仪器的水中窗面(水-玻璃界面)上发生的光反射效应。 光通过不同介质界面时,其反射率与界面两种介质的折射率成函数关系。这种关系由弗列斯奈尔方程式(Fresnel’s equation)表述:  式中,p=界面反射率;i=入射角;r=折射角。 因而摄影光学仪器在空气中的窗面(空气-玻璃界面)和在水中的窗面(水-玻璃界面)对光线的反射和损失不同。以正常入射光线而言,玻璃与空气界面约反射出入射光线的4%;玻璃与水界面仅反射出2%。所以,如果一台仪器在空气中校正后,再放入水中,因浸水效应的存在,会产生一些误差。这是水下摄影光学仪器研制中必须考虑的问题。 |