网站首页  词典首页


请输入您要查询的字词:

 

字词 涂料用导电剂
类别 中英文字词句释义及详细解析
释义 涂料用导电剂

在电子照相或静电记录、电刻蜡纸(誊印纸)等一类纸中,有的纸基须作导电处理,有的需涂以导电层,使纸基或涂层的电阻值稳定在一定范围内,其表面电阻值不会因湿度变化而受影响。

1.金属系导电剂

该类导电剂具有一定颜色,可在不须白色的场合使用,要求具有较细的粒径,在基纸抄造中加入或与胶粘剂混合制成涂料后涂于纸基上,这类导电剂有:

(1)金属类——可以是金、银、银复合物(Ni-Ag,Cu-Ag)、铜、镍、铝、锌等粉末。

(2)金属氧化物系列——氧化锌、氧化锡等其密度小、空气稳定性好,用得较多的是氧化锌。

(3)导电炭黑与石墨——导电炭黑在涂料中用得较多,它粒子较小,表面积越大,导电性越好。石墨的导电性能高,可单独使用,也可与炭黑配合使用。

2.电解质导电剂

一些羧酸和磺酸金属盐或胺盐、非金属盐都具有导电性,有机电解质功能团与导电性的关系见表2-96。常用的有:聚乙烯苄基三甲基铵盐,苯乙烯磺酸胺,氯化季铵盐,氯化钾等。

表2-96 有机电解质功能团与导电性的关系

3.水溶性聚合物

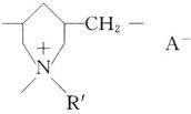
(1)二甲基二烯丙基氯化铵聚合物(聚二甲基-3,5-亚甲基呱啶盐),二乙基二烯丙基氯化铵等的烯丙基氯化铵聚合物,为均聚物,其分子中至少有90%的下列重复单元:

式中:R=1~18个碳原子的烷基;R′=由R和—CH2—CH2—C—NH2组成的基团;A=阴离子

(2)聚二烯丙基,甲基-B丙酰胺基氯化胺[氯化N-甲基N-(B丙酰胺基)-3,5-亚甲基呱叮],该化合物为均聚物,涂量约为0.5~1.0g/m2

(3)季胺聚合物:阳离子聚合物。

(4)铵盐为淡黄色粘稠液,pH(15%水溶液)为7,粘度(15%水溶液)大于30mPa·s。

也可以是上述烯丙基氯化铵、丙烯酰铵氯化铵或季铵的共聚物,聚合物的用量视所要达到的电阻值而定,表面电阻值越低,所用的导电剂聚合物越多。表2-97是不同用量季铵聚合物的表面电阻值。

表2-97 不同用量季铵聚合物的表面电阻值

注:上表中所用的导电剂是三甲基丙烯酰乙基氯化铵与季铵的共聚合物,加入羟乙基淀粉和高岭土配制成的导电混合液涂于定量为68g/m2的原纸上,在15%湿度下的测定其电阻值。

【参考文献】:

(1) Robert J.Kane.Paper Coating Additives.TAPPI,1995.

(2) Jan C.Water.The Coating Process.TAPPI PRESS,1993.

(3) Clay Coating Chemicals for Coated Paper.Nippon Zeon Co,Ctd.

(4) Producto for the Paper Industry and Sperial Fields.BASF.Co.

(5) 涂料调制用药品的选择和配方、设计方法及实际涂料调制方法.(日)日成共孟株式会社,东工物产株式会社.

(6) Coating Conference,1982 TAPPI PRESS.

(7) 纸パ技协志,1986~1994.

(8) 纸パプ.技术夕ィムス,1984~1990.

(9) 纸和纸板的水性涂布操作指南.英国纸张与纸板业联合会,涂布工作组技术部译.1979.6.

(10) (日)纸业时代社.张运展等译.纸加工技术(上下册),中国轻工业出版社,1991.

(11) 制浆造纸手册(第十一分册).北京:轻工业出版社,1988.

(12) 钱逢麟,竺玉书主编.涂料助剂——品种和性能分册.北京:化学工业出版社,1997.

(13) 张美云.纸加工原理与技术.北京:中国轻工业出版社,1998.

(14) 朱楚斌.重氮晒图纸生产基本知识讲义.1998.

(15) 薛德文.重氮晒图纸生产用的助剂.1998.

(16) 新编精细化工产品手册.化工出版社.

(17) 韩长日,宋小平.精细化工产品实用技术手册.北京:科技文献出版社,1996.

(18) 上海造纸,上海市造纸学会编辑出版.1982~1998.

(19) 广东造纸,1998.6.涂布加工纸专辑及1998.

(20) 造纸化学品,1997~1999.

(21) Pulp and Paper Manufacture.Third Edition,1990,Volume 8,Coating,Converting,and Speciality Processes,Part One:Pinment Coating,J.R.Gunning,R.W.Hagemeyer.

(22) 纸张涂布工程,新文化彩色印书馆(台湾),1980.郑腾雄.

随便看

 

离鸟网收录3541549条中英文词条,其功能与新华字典、现代汉语词典、牛津高阶英汉词典等各类中英文词典类似,基本涵盖了全部常用中英文字词句的读音、释义及用法,是语言学习和写作的有利工具。

 

Copyright © 2004-2024 vtrois.com All Rights Reserved
更新时间:2026/4/5 15:53:59