网站首页  词典首页


请输入您要查询的字词:

 

字词 消瘤芥[中]
类别 中英文字词句释义及详细解析
释义 消瘤芥[中]

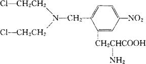
C14H19Cl2N3O4=364.23

2-[双-(β-氯乙基)胺甲基]-5-硝基苯丙氨酸。

2-[bis-(β-Chloroethyl)aminomethyl]-5-nitro-phenylalanine.

抗肿瘤药。用于原发性肺癌、鼻咽癌、喉癌、淋巴肉瘤、宫颈癌和乳腺癌,也用于脑瘤、食管癌、肝癌等。消卡芥。

Nitrocaphane,AT-1258.

注射用消瘤芥,消瘤芥片。

随便看

 

离鸟网收录3541549条中英文词条,其功能与新华字典、现代汉语词典、牛津高阶英汉词典等各类中英文词典类似,基本涵盖了全部常用中英文字词句的读音、释义及用法,是语言学习和写作的有利工具。

 

Copyright © 2004-2024 vtrois.com All Rights Reserved
更新时间:2026/4/6 23:19:36