网站首页  词典首页


请输入您要查询的字词:

 

字词 消防直流水枪的有关计算
类别 中英文字词句释义及详细解析
释义 消防直流水枪的有关计算

(一)水枪喷嘴流量和压力

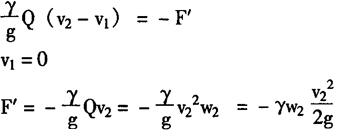
水枪要产生密集射流,水流必须具有很大的速度。而水流速度的产生是由于水枪喷嘴前有一定的压力,这个压力称为水枪压力。在理想情况下,。设水枪出口(喷嘴)面积为W时,则:

由能量方程得(忽略水头损失)

则 F′=-2P1w2

水流对水枪的反作用力F与水枪对水流的作用力F′大小相等,方向相反,并令p=p1,w=w2,则上式可写成

F=2pw

式中:F-水枪反作用力,N;

p-水枪喷嘴压力,MPa;

w-水枪喷嘴面积,mm2

式(8)就是计算水枪反作用力的公式。

当水枪与水带夹角<90°时,F<2pw;

当水枪与水带夹角>90°时,F>2pw。

在实际火场上,由于很多情况是水枪与水带夹角小于90°,故反作用力也可采用F=1.5pw来计算。但在计算云梯车上的作用力时,仍要采用F=2pw来计算。

根据F1=2pw计算各种喷嘴口径的水枪在不同喷嘴压力下的反作用力见表2-6-6。

表2-6-6 直流水枪密集射流反作用力(10N)

随便看

 

离鸟网收录3541549条中英文词条,其功能与新华字典、现代汉语词典、牛津高阶英汉词典等各类中英文词典类似,基本涵盖了全部常用中英文字词句的读音、释义及用法,是语言学习和写作的有利工具。

 

Copyright © 2004-2024 vtrois.com All Rights Reserved
更新时间:2026/4/7 6:43:19