网站首页  词典首页


请输入您要查询的字词:

 

字词 涡旋运动与混沌
类别 中英文字词句释义及详细解析
释义 涡旋运动与混沌

涡旋运动及其相互作用在自然界和工程技术的各种宏观流动中,以及细观湍流结构中,起著十分重要的作用。

应用传统的流体力学方法(包括计算流体力学方法),尚不足以解决非定常涡旋运动的全部问题。近年来,人们开始把非线性动力学方法与传统方法结合起来,揭示出一些引起涡旋运动中的混沌现象,它们同流态转捩、流致噪声和涡流掺混等都有密切联系。

这一方向的深入研究将有可能把当代流体力学研究推到一个新的水平,并对丰富和发展动力系统理论,有重要的基础意义和广泛的应用价值。

利用混沌理论研究有涡流动的动力特性时,采用Euler和Lagrange两种基本观点。了解混沌流动复杂特性的关键在于弄清周期点的几何结构及流的局部分叉和整体分叉特性。

研究Euler流场的混沌时,必须对完全的偏微分方程(Navier Stokes方程)进行截断处理,以得到一组低阶常微分方程组,然后对这一方程组所代表的有限维动力系统进行研究,如Lorenz的工作。但由于无法保证截断后低维系统中的混沌也会在无限维的偏微分方程系统中出现,而且随著保留阶数的不同,有时会出现定性上不同的动力响应。所以在流体力学界,对用这种方法研究混沌问题一直存在著怀疑和争论。Shirer与Wells认为应用截断方法时必须满足的条件是:所得到的解在所有高阶模型及偏微分方程系统中也同样出现,即当采用更高阶模型时不再出现新的稳态解,就可认为该模型是可用的。Marcus发现,Lorenz模型之所以不能作为物理上可接受的湍流模型,其根本原因就是不满足以上条件。

另外,人们发现作了有限截断,所得到的模型只能反映偏微分系统中某些特定的混沌特性。在具体进行截断处理时,常用的方法有Galerkin法和流场的局部级数展开等方法。

研究Lagrange质点流混沌时,往往是基于Euler速度场,采用Lagrange观点,跟踪流体质点的运动,研究由此定义的动力系统。即

Dx/Dt=v(x,t)

对时间积分,得

x=Jj(x0)

其中x0为其初始位置。称X为流。

如果流动是时间周期的,运用Poincare截面法,运动可表示为映射

其中,n是流的周期数,T是时间周期。

此时,映射的质点轨迹在Poincare截面上用一系列点来表示,而不是连续的轨迹,这样就将连续的流用离散的映射来表示。研究Lagrange混沌时,无需作人为的高阶截断。

但由于Euler速度场的解析解一般无法得到,而且近似求得的速度场会对Lagrange混沌进一步产生影响,所以Lagrange混沌的研究难度总的来说比Euler流场中的混沌更大。直接研究Lagrange涡量的演化过程有可能从根本上揭示Euler流场中的混沌与Lagrange质点流混沌间的联系。

我们讨论无界空间中涡旋运动的混沌特性,重点放在一些理论模型上,如Tendril-Whorl流、Aonold-Beltrami-Childress流、Kelvin猫眼流等。这些理论模型的解析特性相对较为简单,可深入研究它们的动力特性,总结出最基本的规律,从而为研究更为复杂的实际流动提供方法和经验。这里的例子有二维非定常流动,也有三维定常流动。在三维情形中流可以沿KAM(Ko1- mogorov-Arnold-Moser)表面进行“Arnold扩散”,但其过程极为缓慢。

三维流场的混沌速度场的动力特性极为复杂,但在这些流动中,已经知道长度以指数规律增长,且其质点流也是混沌的。

TW流是一种简单的周期流动,每个周期中的流由均匀拉伸流和非线性旋转流组成。

TW流有两种基本结构:(1)在稳定周期轨道的椭圆不动点附近形成的螺旋形流动,即Whorl流;(2)由不稳定周期轨道上的双曲不动点产生的指数拉伸、折叠结构,即Tendril流。Berry等首先研究了TW流,而后Khakhar等对它进行了详细分析。

首先,进行局部分析。在极坐标系中,拉伸映射与旋转映射的综合作用是

f(r,θ)=fext.frot,f:(r,θ)=(r′,θ′)

其中,r′=r[(1/α2)cos2θ+α2sin2θ]1/2θ′=tg-12tgθ)-Brexp(-r)α=exp(εText)

此处,B为常数。拉伸部分为(0<t<Text)

vx=-εx,vyy

旋转部分为(Text<t<Text+Trot)

vr=0,vθ=-ω(r)

这里Text和Trot分别为拉伸部分与旋转部分的时间,ε为位伸系数,ω(r)是描述旋转率的系数。对周期点P*=(r*,θ*),得

对M=0时,引入参数

由上式可得TW映射的不动点为

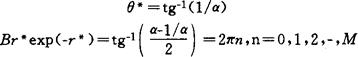
θ*=tg-1(1/α)

r*exp(1-r*)=1/β

通过对该映射周期1不动点的局部线化分析,求得决定周期1不动点性质的参数G。对应于不同的G,不动点的性质亦不同,具体情况如下:G>0→双曲型;G=0→抛物型;0>G>-1→椭圆型;G=-4→抛物型;-4>G→双曲型。

通过对局部分叉的分析,可知当β=1时,在r*=1处出现两个周期1的点,这两点都是抛物型的;随著β的增大,这两点分别分裂成两个点,其中位于r*>1的范围的两个点是双曲的,而位于r*<1的范围的两个点是椭圆的。所以在β=1,r*=1处出现鞍-结点分叉。当β进一步增大时,会发生2次分叉,这时椭圆点先变成抛物点,然后再变成双曲点。

同时,还会产生两个新的周期2的椭圆点,即发生了周期倍化。对周期2的点可进一步进行局部分析,Khakhar等发现在发生周期倍化时,在周期2的发生点处,它是抛物型的,而当β稍稍增大一点,它们即变成椭圆型的。随著β的继续增大,会发生第2次周期倍化,这时周期2的点变成双曲型的,同时在每个周期2的点处产生出两个周期4的椭圆点。

Khakhar等还指出TW映射具有同宿/异宿性质。

同宿/异宿横截意味著存在马蹄映射,进而证明TW流确实存在混沌特性。他们还给出了TW映射中马蹄映射的例证。

1965年Arnold提出满足Euler方程和不可压缩条件

的1组三维定常流动的解

dx/dt=u=Asinz+Ccosy

dy/dt=v=Bsinx+Acosz

dz/dt=w=Csiny+Bcosx

其中,A,B,C为实参数。这一流动还满足Beltrami条件

ω=λ(x)U,U.▽λ=0

Arnold提出这一模型的目的是:首先研究空间湍流的规律,然后与事先存在的时间湍流相互作用,以开辟一条研究完全发展湍流的道路。

Childress也独立地研究了类似模型。Hénon在,C=1的条件下,证明了该系统存在混沌。

Dombre等称这种流动为Arnold-Beltrami-Childress流,简称ABC流。当参数A,B,C之一等于零时,该系统是可积的,这为解析地研究其KAM表面等动力特性提供了理论上的便利。

Dombre等对ABC流作了十分详细的研究,发现在ABC流中存在6个主导涡。进一步的研究表明这些涡不是直的,而是以左螺旋方式拧转的(周期为2π)。这些涡共处于流场中的“周期柜”中(即,0≤x≤2π,0≤y≤2π,,0≤x≤2π的空间中),但又避免相互间的直接接触。在涡与涡之间的流场中有著极为丰富的流动结构。

Dombre等的数值模拟结果说明在ABC流的三维定常流中,流线上相邻质点的位置会随时间以指数规律迅速分开,但局限在一有界区域内游荡,其结果是单条流线看上去充满了整个混沌区域的空间。他们还应用摄动法研究了近可积情形和共振情形。

ABC流的动力学分析从一个侧面说明了3维涡旋的动力特性是极为复杂的。

Galloway和Frisch还研究了ABC流动的线性稳定性问题,他们的结果说明ABC流动在Reynolds数大于10时是不稳定的。

用多重尺度法研究的结果表明在更小的Reynolds数时,该流动也是不稳定的。Moffatt也研究了无粘情形下ABC流动的稳定性问题。McLanghlin用摄动法研究了ABC流中粒子尺寸对混沌特性的影响,发现粒子的惯性和有效质量的存在有助于消除Lagrange湍流,并且粒子会被流动中涡旋的周期轨道或准周期轨道所俘获。对ABC流的深入探讨有助于空间湍流机理的研究。

Kelvin猫眼流对剪切流中的混合过程及剪切湍流理论研究都具有重要意义。Kelvin猫眼流最先由Kelvin进行研究,它在流体力学的平行剪切流稳定性理论研究中引起人们持久的兴趣。

这里,我们讨论对Kelvin猫眼流进行扰动后流动的混沌特性。下列流函数

所表示的流动为一列涡旋以速度U向x1方向移动,称为Kelvin猫眼流。

其中,无量纲参数A代表涡量集中的程度,ΔU为涡列两边的速度差,h与涡间距成正比。迹线与质点轨迹的演化过程可由

x1>0方向平移的相对坐标系中,流函数变为

在这一坐标系中,流是自洽的,因此是可积的。对上式依ΔUh/2进行无量纲化处理后得(采用同样记号)

相对于运动坐标系的流体质点速度为

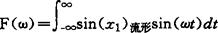
由于速度场有异宿点,因此扰动将会导致其稳定流形与不稳定流形的相交。利用Melnikov方法对简单的面积不变扰动

gj=εsin(ωt)

g2=0

可得Melnikov积分为

其中,

因M(t0)为受扰动流形间的距离,可以预计在F(ω)的极值处(对应于ω=0.3附近)会出现最强的混沌。

由Poincaré截面法(mod2π)可见果然在ω≈0.3处的混沌最强。

进一步考虑各涡之间的相互作用时,则须求助于数值计算。以上所讨论的Kelvin猫眼流显然不是湍流的,其根本原因在于它无法进行涡量混合。为此,Danielson人为地构造了一种能够进行涡量混合的Kelvin猫眼流,从而得到混沌的Euler流场。

无界空间中的其它涡运动有如下几种:(1)理想点涡模型;(2)剪切流中的涡旋与混沌;(3)尾流中的涡旋与混沌;(4)三维涡旋运动。

谈庆明等最先对二维轴承流进行了非线性动力特性研究。

与此同时,Aref与Balachandar也对其进行了数值模拟。而后Swanson与Ottino从混合机理研究的角度对它进行了详细的实验和数值模拟研究。通过对偏心轴承流的内、外边界施加周期扰动,在流动中即出现同宿、异宿轨道研究表明,低阶周期点的流形起著主导作用,并且对应于很宽的参数范围都会出现Lagrange混沌。值得注意的是,Aref与Jones发现,轴承流中的混沌对流能促进流体分离过程。

Sody通过数值求解涡量-流函数形式的Navier-Stokes方程,研究了在波浪壁通道内的流动。由于涡旋的存在可以使流动产生混沌,但另一方面,在一定条件下,通过适当的非定常激发,也可以形成十分有序、更为稳定的涡旋。

壁面附近的结构不稳定涡旋流与流动分离及湍流直接相联系。其速度场可由一个局部成立的级数展开来表示,而它必须是满足无滑移条件的Navier-Stokes方程在固壁处的局部解。所以,问题归结为确定级数的系数,并可通过改变一些末定的系数来考察流场拓扑结构的变化。当级数的最低阶系数变为零时,就会产生高阶奇性现象,这些现象发生在初始分离、初始涡旋形成及涡旋破裂即将发生之际。

当远离分叉态时,已形成的结构稳定流一方面保持它的拓扑结构不变;另一方面流面,涡面会发生变形、拉伸和折叠。因此在研究混沌流动时,必须从局部描述向全局描述转变。

另外,还有几种十分重要的涡旋运动,如Bénard对流,同心圆柱Couette流中的Taylor涡,空穴流及点涡、涡丝等。

(空军气象学院吴锤结教授撰)

随便看

 

离鸟网收录3541549条中英文词条,其功能与新华字典、现代汉语词典、牛津高阶英汉词典等各类中英文词典类似,基本涵盖了全部常用中英文字词句的读音、释义及用法,是语言学习和写作的有利工具。

 

Copyright © 2004-2024 vtrois.com All Rights Reserved
更新时间:2026/5/31 14:26:33