润滑脂的选用计算实例
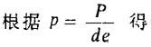
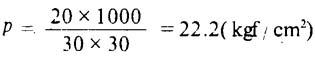
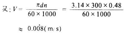
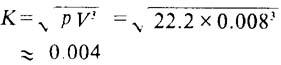
[例]某厂用25m3蒸球蒸煮木片,转速为0.48r/min,所承受载荷为球体自重加蒸煮物共20t,蒸煮最高温度190℃,轴承部温度为160℃,轴颈直径d=300mm,轴瓦宽e=300mm,原采用二硫化钼润滑脂,是否正确?试确定润滑方法及选择润滑剂。 解: ❶ 核定润滑方法    故:轴承的平均载荷数K为:  当K≤6时,应采用润滑脂润滑。 ❷ 润滑脂的选择 因为蒸球轴承是在高温、高压、低速下工作的,所以轴承润滑应选择耐高温、重负荷、低转速的润滑指,查机械设计手册《常用润滑脂的性质及用途》表知,选用ZN6-4高温润滑脂较适宜,主要用于工作温度140~160℃高温低转速重负荷的摩擦部位。 二硫化钼虽然也具有耐高温(180℃)及抗压性,但它不适应在低转速条件下工作,不能允分形成油膜,起到润滑作用,因此,使用二硫化钼作润滑蒸球轴承润滑剂是不合适的。然而、若将ZN6≤4润滑脂掺入适量(0.01%)二硫化钼粉,可提高润滑脂的抗压性,降低摩擦系数,减少磨损,改善润滑脂的润滑性能。 |