| 释义 |
液体亚铵需要量的计算
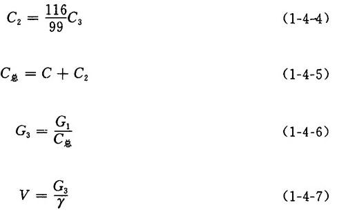
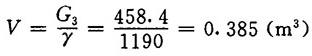
【公式】  式中 C2——亚氢铵转化成亚铵的百分率 C3——亚氢铵含量(%) 99——亚氢铵的摩尔质量 116——亚铵的摩尔质量 C总——溶液中总亚铵的百分率(%) C——亚铵含量(%) G3——每球所需液体亚铵量(以重量计)(kg) V——每球所需液体亚铵量(m3) G1——每球所需固体亚铵量(kg) γ——亚铵溶液的密度(kg/m3) 【例2】在例1中,若亚铵溶液中亚氢铵含量为37.9%,亚铵含量为35%,亚铵溶液的密度为1190kg/m3,求所需液体亚铵的重量和体积。 解:亚氢铵转化成亚铵的百分率C2  配制溶液中总亚铵百分率C总 C总=C+C2=35%+44.4%=79.4% 每球所需液体亚铵重量G3  每球所需液体亚铵体积V  |