网站首页  词典首页


请输入您要查询的字词:

 

字词 淫羊藿
类别 中英文字词句释义及详细解析
释义 淫羊藿

【名称出处】:《中国药典》

【概况】:

异名 仙灵脾(《雷公炮炙论》),三枝九叶草(《本草图经》),牛角花(《贵州民间药方集》),肺经草(《湖南药物志》)。

基源 为小檗科淫羊藿属植物淫羊藿、朝鲜淫羊藿、箭叶淫羊藿、粗毛淫羊藿的茎叶。

原植物 淫羊藿Epimedium brevicornuum Maxim.(E.rotundatum Hao)。又名心叶淫羊藿《拉汉药用植物名称和检索手册》。朝鲜淫羊藿E.koreanum Nakai。

箭叶淫羊藿E.sagittatum(Sieb et Zucc.)Maxim.(E.sinense Sieb.;Aceranthus sagittatus Sieb et Zucc.)。粗毛淫羊藿E.acuminatum Franch.,又名尖叶淫羊藿。

历史 淫羊藿始载于《本经》。《别录》载:“生上郡阳山(即今陕西西北及内蒙乌审旗地区)。”《纲目》记:“一茎三丫,一丫三叶,叶长二三寸,如杏叶及豆藿,面光背淡,甚薄,而细齿有微刺。”从本草的形态及分布应主要是本种。

形态 多年生草本,高30~40cm;根茎长,横走,质硬,须根多数。叶为二回3出复叶,小叶片卵圆形或近圆形,长2.5~5cm,宽2~4cm,先端阔锐尖,边缘具锯齿,基部深心形,侧生小叶不对称,外侧有小尖头。

花成聚伞状圆锥花序,花梗有腺毛;花通常白色。花期6~7月,果期8月。

(图见《中药大辞典》.2251页)

朝鲜淫羊藿与上种不同在于二回3出复叶,小叶9片,叶片卵状心形或长卵状心形,长4.0~9.5cm。

4~6花成总状花序,花黄白色或乳白色。

花期6~7月,果期8月。(图见《中药志》.第4册.636页.图619)

箭叶淫羊藿与上种不同在根出叶1~3枚,3出复叶,小叶卵圆形至卵状披针形,长4~9cm,宽2.5~5cm;茎生叶常对生于顶端,形与根出叶相似,基部呈歪箭状心形,外侧裂片特大而先端渐尖。

花多数,聚成总状或下部分枝而成圆锥花序,花小,直径仅6~8mm,花瓣有短矩或近于无距。花期2~3月。果期4~5月。

粗毛淫羊藿与上种不同在叶为3小叶或单叶,小叶片狭长,叶背有柔毛。总状花序具10~15朵花,小花梗长而无毛,距较内部的花萼长1倍。

生境与分布 淫羊藿生于阴湿的山沟中。

分布于山西、陕西、甘肃、青海、安徽、湖南、广西。

朝鲜淫羊藿生长于多荫蔽的杂木林及灌丛中。分布于黑龙江、吉林、辽宁、陕西、甘肃、山东、江苏、江西、湖南、广东、广西、四川、贵州。

箭叶淫羊藿生于山坡竹林下或路旁岩石缝中。

分布于安徽、浙江、江西、福建、湖北、广东、广西、四川。

粗毛淫羊藿分布于湖北西部、四川、贵州、云南。

。【化学】:

箭叶淫羊藿全草含淫羊藿甙(Icariin),微量挥发油及植物甾醇[1]

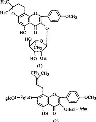
淫羊藿茎叶含淫羊藿甙,叶尚含挥发油、蜡醇、卅一烷,甾醇,鞣质,油脂。脂肪油中脂肪酸有棕榈酸、硬脂酸、油酸及亚油酸[2]。淫羊藿还含:4′-甲氧基-5-羟基-8-(3,3-二甲基烯丙基)黄酮3-葡萄糖(1→2)鼠李糖-7-葡萄糖甙,4′-甲氧基-5-羟基-8-(3,3-二甲基烯丙基)黄酮3-木糖(1→2)鼠李糖-7-葡萄糖甙,4′-甲氧基-5-羟基-8-(3,3-二甲基烯丙基)黄酮3-鼠李糖(1→2)鼠李糖-7-葡萄糖甙[3],β-去水淫羊藿素(β-Anhydroicaritin),去-O-甲基-β-去水淫羊藿素[4]

淫羊藿变种(Epimedium grandiflorum var.thunbergianum)地上部分含淫羊藿次甙(Icariside)A1、B1、B2、C1、C2、C3、C4,毛柳甙(Salidroside),唐松草甙(Thalictoside),苄基葡萄糖甙[5],淫羊藿次甙A2、A3、A4、B5、B6、B7、E3、F1、F2、G1,(Z)-3-己烯葡萄糖甙和布竹柏醇-C-葡萄糖(Blumenol-C-glucoside)[6]

箭叶淫羊藿地上部分含箭叶淫羊藿素A,B(Sagittatin A,B)[7],箭叶淫羊藿甙A,B,C(Sagittatoside A,B,C),淫羊藿素A,B,C(Epimedin A,B,C)[8],去水淫羊藿素-3-O-α-鼠李糖甙(Anhydroicaritin-3-O-α-rhamnoside),淫羊藿素-3-O-α-鼠李糖甙和淫羊藿次甙Ⅰ(Icariside-Ⅰ)[9],淫羊藿次甙(Icariside)E6、E7,淫羊藿醇(Icariol)A1、A2,淫羊藿次甙D3、H、B9[10]

心叶淫羊藿含淫羊藿甙和淫羊藿次甙Ⅰ(Icariside-Ⅰ)[11]以及宝藿甙I(Icariside-Ⅱ,Baohuoside Ⅰ)[12]

尖叶淫羊藿(粗毛淫羊藿,E.acuminatum)地上部分含粗毛淫羊藿甙(Acummatin)(1)[13]和尖叶淫羊藿甙(Acuminatoside)(2)以及已知化合物淫羊藿甙、淫羊藿新甙A(Epimedoside A)和山柰甙(Kaempferitrin)[14]

从箭叶淫羊藿叶分到三个酚氧色酮化合物:6-去甲氧基-4′-甲基-8-异戊烯基茵陈色酮,6-去甲氧基-7-甲基茵陈色酮(6-Demethoxy-7-methylcapillarisin),6-去甲氧基-7-异戊烯基茵陈色酮[15]

参考文献 [1] 江苏省植物研究所等.新华本草纲要.第1册.上海科学技术出版社,1988∶157 [2] 江苏新医学院.中药大辞典.上海人民出版社,1977∶4672 [3] J Chromatogr 1988;456(2)∶392 [4] CA 1992;116∶166012u [5] Chem Pharm Bull 1987;35(3)∶1109 [6] Chem Pharm Bull 1988;36(7)∶2475 [7] Planta Med 1989;55(3)∶309 [8] Phytochemistry 1988;27(11)∶3641 [9] Phytochemistry 1987;26(3)∶861 [10] Phytochemistry 1991;30(6)∶2025 [11] 药学通报 1987;22(3)∶129 [12] 第二军医大学学报 1994;15(3)∶268,药学学报 1988;23(10)∶739 [13] 药学学报 1992;27(5)∶397 [14] J Nat Prod 1992;55(5)∶672 [15] CA 1993;118∶143486d。【药理】:

❶ 对心血管系统的作用 在离体豚鼠心脏冠脉血流量实验中,洛氏液中加入淫羊藿水煎剂(20%)0.5ml,可使冠脉血流量较给药前增加132.1%。

麻醉开胸犬iv淫羊藿水煎剂(1g生药/kg),可使其冠脉血流量平均增加112.2%,持续20~60min,同时冠脉阻力下降。淫羊藿水煎剂(25%)2ml/kg iv,对在位兔心肌收缩力有明显的抑制作用,左心室舒张压明显下降。淫羊藿提取物5-1-1(100%)8ml/kg,对垂体后叶素引起的大鼠心肌缺血有保护作用,淫羊藿提取物5-1-1(25%)0.3ml/只,ip,可使小鼠心肌对86Rb的摄取增加[1]

淫羊藿煎膏1g/kg或淫羊藿甙1mg/kg iv,对麻醉兔心率、心电图、希氏束均无明显影响,但两者均使心室内压下降30%,心室内压上升速率下降1/3以上,表明对心室收缩力有抑制作用,二者均降低动脉血压,并明显降低外周阻力[2]。淫羊藿醇提物(按生药量计算)15g/kgip,可对抗在缺氧条件下异丙肾上腺素缩短小鼠存活时间的作用,2g/kg iv,可预防肾上腺素诱发的家兔心电S-T段下降、室性早搏及室上性心动过速,但对室上性早搏及室上性心动过速及室性心动过缓无明显作用[3]。淫羊藿甙5×10-3~3.5×10-2mg/ml浓度,对离体兔胸主动脉、肠系膜动脉及犬冠状动脉、脑基底动脉环静息张力均有一定降低作用;非竞争性拮抗去甲肾上腺素收缩胸主动脉环,明显减弱去甲肾上腺素收缩胸主动脉环作用中的钙内流依赖部分,也降低高钾所致的胸主动脉、肠系膜动脉、冠状动脉及5-HT所致的脑基底动脉环的收缩反应,结果表明淫羊藿甙具有抑制血管平滑肌细胞外钙内流的作用[4]。通过淫羊藿总黄酮对兔离体右心房、主动脉条、豚鼠气管条及麻醉猫和大鼠血压等实验结果,表明淫羊藿总黄酮是选择性阻断心肌肾上腺素β1受体,对气管β2受体和血管平滑肌α1受体无阻断作用[5]
❷ 对免疫系统的影响 淫羊藿总黄酮25,50mg/kg sc,连续7d,提高小鼠血清溶血素抗体水平,脾脏抗体生成细胞数增多,促进淋巴细胞转化,显著提高巨噬细胞吞噬功能[6]。淫羊藿多糖10,20,40mg/kgip还可提高绵羊红细胞致敏小鼠的循环溶血素抗体水平并具有增强免疫记忆的作用[7]。淫羊藿多糖50mg/kgsc,连续7d,可增加小鼠脾脏PFC数,提高血清溶血素水平,增加外周白细胞数、淋巴细胞数及有核细胞数,促进PHA刺激的淋巴细胞转化,增强腹腔巨噬细胞吞噬功能[8]。淫羊藿多糖29μg/孔(每孔225μl),可促进小鼠脾细胞、胸腺细胞及裸鼠脾细胞3H一TdR的掺入,表明淫羊藿多糖具有丝裂原样作用,淫羊藿多糖50mg/kg%也可促进小鼠脾细胞3H一TdR的掺入,100mg/kg可诱使小鼠脾细胞产生干扰素[9]。淫羊藿多糖10,20mg/kg ip,连续3d,可减轻叠氮胸苷引起的小鼠免疫和造血功能的下降[10]

淫羊藿甙15,30,60mg/kg sc,连续7d,使小鼠脾脏PFC数增加,血清溶血素抗体增加,15,30mg/kgsc,连续4d,可对抗环磷酰胺对脾脏抗体生成的抑制作用[11]。淫羊藿70%甲醇提取物200,500mg/kgig,连续5d,可促进小鼠对炭粒的廓清作用[12]

淫羊藿多糖10,25,50mg/kg,或淫羊藿甙1,5mg/kg,可使小鼠胸腺细胞产生IL-2和3H-TdR的掺入增加,多糖使胸腺内L3T4+和Lyt2细胞数减少,伴同胸腺细胞对ConA刺激的增殖反应降低,淫羊藿甙对胸腺内上述两个细胞亚群无影响,但使胸腺细胞对ConA刺激反应增高,故认为该多糖和甙对胸腺都有免疫激活作用,多糖可能有促进胸腺释放成熟细胞的作用[13]
❸ 对核酸代谢的影响 取正常和羟基脲所致“阳虚”模型小鼠骨髓细胞(1×106)进行体外培养,加入不同剂量的淫羊藿多糖(10,25,50,100μg),结果表明淫羊藿多糖不论是对正常小鼠或对羟基脲“阳虚”小鼠均具有促进骨髓细胞增殖的作用,增加DNA的合成[14]
❹ 对骨代谢的影响 在培养液中加入淫羊藿制剂(水提醇沉,100%),对试管内鸡胚股骨生长具有促进作用。(药液与培养液的比例为2∶100,3∶100×6d)[15]

淫羊藿水提液5g/kgig,每周6次,连续7wk,对去睾丸大鼠有明显促进骨生长作用[20]
❺ 对血液中血小板及血浆中分子的影响 淫羊藿煎剂25,50,100mg/ml或淫羊藿多糖2.5,5,7.5mg/ml,均能促进ADP诱导的大鼠血小板聚集;煎剂,多糖及黄酮均按100mg/kgig,连续7d,三者也均能增加ADP诱导的血小板聚集率[16]

淫羊藿正丁醇提取物2.73~10.92g/kg ig,均能促使羟基脲性“阳虚”小鼠血浆中分子物质(Plasma middle molecular substances)降低,巯基含量升高(中分子物质血浆浓度过高,对机体有多方面毒性作用),认为是淫羊藿扶正祛邪作用[17]

❻ 性激素样作用淫羊藿生品与炮制品对性机能的影响不同。小鼠分别ig给予淫羊藿生品和炮制煎剂15g/kg体重×10d,生品无提高性机能的作用,且对睾酮含量、提肛肌比重和附睾比值有不同程度的降低,而炮制品则使睾酮含量升高,提肛肌和附睾比值增加,但无注射睾酮后睾丸重量下降的作用[18]
❼ 延缓衰老作用 淫羊藿黄酮给药0.7g/kg ig,连续68d,可对抗D-半乳糖胺造成亚急性衰老模型雄性小鼠T淋巴细胞增殖反应率下降及脂多糖诱导下3H-TdR掺入β细胞降低。

淫羊藿黄酮还能明显提高D-半乳糖衰老模型小鼠肝脏SOD活性,减少肝脏过氧化脂质的产生,同时心、肝组织中脂褐素的含量亦有显著下降,但对脑中脂褐素影响不明显[19]

参考文献 [1] 沈阳药学院学报 1981;(总13)∶9 [2] 中草药 1982;13(9)∶30 [3] 中草药 1984;15(2)∶26 [4] 沈阳药学院学报 1993;10(3)∶185 [5] 中国药理学通报 1994;10(4)∶311 [6] 中成药研究 1987;(2)∶27 [7] 中药药理与临床 1989;5(4)∶11 [8] 中国药理学通报 1985;1(1)∶30 [9] 中国免疫学杂志 1985;1(6)∶42 [10] 中国药理学与毒理学杂志 1994;8(3)∶203 [11] 药学通报 1987;22(9)∶533 [12] 药学杂志(日) 1990;110(3)∶179 [13] 中国药理学通报 1993;9(5)∶345 [14] 中国中药杂志 1991;16(10)∶620 [15] 中西医结合杂志 1985;5(3)∶172 [16] 中药通报 1987;12(8)∶40 [17] 中国中药杂志 1995;20(4)∶238 [18] 中国中药杂志 1989;14(9)∶18 [19] 中药药理与临床 1990;6(2)∶18 [20] 中草药 1993;24(12)∶637

。【药性】:

性味 辛,甘,温。

❶ 《新华本草纲要》:“全草:辛,温。”
❷ 《别录》:“无毒。”
❸ 《药性论》:“甘,平。”
❹ 《蜀本草》:“温。”
❺ 《滇南本草》:“微辛,微温。”

归经 入肝、肾经。

❶ 《滇南本草》:“入肝、肾二经。”
❷ 《纲目》:“手、足阳明,三焦,命门。”
❸ 《本草经疏》:“入手厥阴,足少阴、厥阴。”

功效 补肾壮阳,祛风除湿,强筋骨。

主治 阳痿不举,小便淋沥,筋骨挛急,半身不遂,腰膝无力,风湿痹痛,四肢不仁。 ❶ 《新华本草纲要》:“腰膝软弱,阳痿,风湿关节痛,四肢麻木。”
❷ 《本经》:“主阴痿绝伤,茎中痛。利小便,益气力,强志。”
❸ 《别录》:“坚筋骨。消瘰疬,赤痛,下部有疮,洗,出虫。”
❹ 《日华子本草》:“治一切冷风劳气,补腰膝,强心力,丈夫绝阳不起,女子绝阴无子,筋骨挛急,四肢不仁,老人昏耄,中年健忘。”
❺ 《医学入门》:“补肾虚,助阳。治偏风手足不遂,四肢皮肤不仁。”

用法用量 内服:煎汤,3~10g,浸酒、熬膏或入丸、散。

外用:煎水洗。

使用注意 阴虚而相火易动者忌服。

❶ 《本草经集注》:“薯蓣为之使。”
❷ 《日华子本草》:“紫芝为使。得酒良。”
❸ 《本草经疏》:“虚阳易举,梦遗不止,便赤口干,强阳不痿并忌之。”

。【临床应用】:

配伍应用 ❶ 配巴戟天、补骨脂,治肾阳虚弱,下元不固的阳痿、早泄、遗尿、尿频。

❷ 配锁阳、蛇床子、巴戟天,治妇女宫冷不孕,虚寒带下,腰腹冷痛。
❸ 配威灵仙、川芎、五加皮,治行痹走注疼痛。

❹ 配仙茅、当归、知母、杜仲,治妇女更年期高血压。

❺ 配穿山龙、秦艽、桑寄生、骨碎补,治风湿痹痛,四肢麻木。

❻ 配锁阳、肉苁蓉、巴戟天、胡芦巴,治男子不育症。
❼ 配威灵仙、川芎、苍耳子、肉桂,治风湿寒痹,四肢疼痛或麻木不仁。
❽ 配紫金牛、锁阳、巴戟天、黄芪,治神经衰弱,腰膝冷痛,性功能减退。
❾ 配五味子、丹参、麦冬、鸡血藤,治冠心病,心供血不足。

❿ 配何首乌、女贞子、知母、黄柏,治斑秃。 ⑾配虎杖、寻骨风、木瓜、白花蛇,治急性风湿热,四肢关节肿胀。 ⑿配黄精,羊肾,治老年阳痿。

方选和验方 ❶ 仙灵脾散(《太平圣惠方》)治风走注疼痛,来往不定:仙灵脾、威灵仙、川芎、桂心、苍耳子各30g。

同研为散,并过筛细罗,每次服3g,不计时候,温酒调服。
❷ 二仙汤(《实用中药手册》)治老年肾虚,阴阳失调所致头晕、目眩、烦躁、失眠、四肢麻木、浮肿和更年期高血压:淫羊藿、仙茅各12g,当归、黄柏、知母各9g,水煎服,日1剂。
❸ 羊藿二子汤(《常用老年保健中药》)治抑制型神经衰弱,困倦无力.记忆力下降:淫羊藿20g,枸杞子、沙苑子、五味子、山萸肉各10g,水煎服,每日服1剂,分2~3次服。
❹ 如童老奴丸(《全国中药成药处方集》)治精血衰弱,荣养不足,神倦体乏,气短心跳,风寒湿痹,阳事不举:淫羊藿、巴戟天、枸杞子、胡桃肉、茯苓、柏子仁、桑螵蛸、山萸肉、川楝子、紫稍花、灯心灰、蛇床子、车前子、肉苁蓉、菟丝子、马蔺花、大茴香、韭子、毕澄茄、破故纸各60g,蜘蛛(酒浸)7个。

共研为末,炼蜜为小丸,如梧子大,每服6g,淡盐汤下,日服2~3次。
❺ 保元丸(《全国中药成药处方集》)治阳痿不举,遗精早泄,腰膝酸软,小便短数,四肢无力:淫羊藿、破故纸、熟地、淮山药、川楝子、牛膝、胡芦巴、菟丝子、巴戟天、益智仁、远志、柏子仁、茯苓、山萸肉各500g,沉香60g,全蝎90g,肉苁蓉2500g,鹿角胶5000g。

共研为末,蜜丸如梧子大,每服10~20g,日2服。
❻ 《中国古代房室养生集要》:“治男子虚损,阳痿不举:淫羊藿(洗净)、仙茅(米泔浸,去赤水,晒干)、五加皮各125g,龙眼(去核)100枚。用酒浸20日后,每服30ml,每日2~3服。”
❼ 《中医药物贴脐疗法》:“治阳痿不举:淫羊藿、菟丝子、蛇床子、急性子各等量,加白胡椒粉少许。加酒调成糊状,糊于脐中(神阙穴),外以纱布覆盖,胶布固定,每日更换1次,一般15天为1疗程。”
❽ 《全国中草药汇编》:“治阳痿、早泄:淫羊藿500g,白酒1500ml。浸泡1周,密闭,前4天温度控制在50℃以上,后3天温度在5~8℃。每次服10~20ml,每日服3次。”
❾ 《全国中草药汇编》:“治慢性气管炎:淫羊藿、紫金牛2味,以4比1的比例研末,加蜂蜜制成丸,每丸重9g(内含淫羊藿7g,紫金牛1g),每次服用1丸,日服2次。”
❿ 《全国中草药汇编》:“治更年期高血压:淫羊藿、仙茅、当归、巴戟、知母、黄柏各9g,水煎服,每日1剂。” ⑾辽宁中医杂志 1983;(9):“治急性风湿热,四肢关节肿胀,胸闷气短,心动加速,并有低热:淫羊藿、虎杖、防风、寻骨风、木瓜、白花蛇各12g,桂枝、独活各9g,川芎10g。每日1剂,水煎服,分2次服,60剂为1疗程。

” ⑿中医杂志 1991;(9):“治头发片状脱落,呈圆形和不规则形,皮肤光滑而亮,中医属于肝肾不和,冲任失调,毛发失荣:淫羊藿、仙茅、白芍、生地、何首乌、女贞子各12g,当归、知母、黄柏、丹参各9g,生甘草3g。水煎服,每日1剂,分2次温服。

” ⒀福州中医 1991;(1):“治男性不育,症见脾肾阳虚者:巴戟天、淫羊藿、肉苁蓉、熟地、淮山药、菟丝子、枸杞子、山萸肉、黄芪、车前子、当归、茯苓、覆盆子、五味子、干姜。适量,随症加减,水煎服。” ⒁福州中医 1991;(1):“治不孕症,黄体功能不全者:仙灵脾、川断、当归、白芍、肉苁蓉、菟丝子、丹参、旱莲、山药、香附适量水煎服。” ⒂中国性学会文摘 1992;(5):“治老年阳痿:仙灵脾、仙茅、桑椹、紫河车、淮山药、菟丝子、黄精、熟地各15g,山萸肉12g,鲜羊肾1对。同煮至羊肾熟烂,药液继续浓煎,可饮汤液服羊肾,每日服1剂,分2~3次服。共用3周为1疗程,可以重复服,无副作用。” ⒃中医杂志 1991;(9):“治类风湿性关节炎,用激素治疗后,病情未见减轻,关节仍肿痛,面白肢冷,舌苔白腻,脉细而涩:仙灵脾20g、制川乌、制草乌、大生地、全当归,白芥子,白僵蚕(炙),乌梢蛇,甲片(炮)、蜣螂虫、蜂房各10g,甘草6g。水煎服,每日1剂,分2次服。

另用蜈蚣(炙)研为末,每服3g,开水送服。应连续服用20~30服。

” ⒄灵桂散(黑龙江中医药 1991;(1))治萎缩型外阴白斑:仙灵脾、肉桂、赤芍等分,同研为细末,用麻油调成糊状,外搽于患处,日1~2次。 ⒅吉林中医药 1991;(2):“治头晕颧红,血压增高,气短健忘,腰腿酸软,小便短少,阳痿遗精,下肢浮肿:仙灵脾、仙茅、巴戟天、当归、知母、黄柏、黄芪、防己、罗布麻各适量,水煎服。” ⒆淫羊藿汤(吉林中医药 1991;(2))治死精过多引起的男性不育症:淫羊藿、车前子各30g,当归、川续断、菟丝子、制首乌各20g,肉苁蓉、女贞子、枸杞子、山萸肉、白芍、旱莲草、黄芪各15g,甘草6g。水煎服,日1剂。

” ⒇湖南中医杂志 1991;(4):“治急性肾炎,肾功能衰竭:仙灵脾、蒲公英、益母草、生黄芪、白花蛇舌草,土茯苓各15g,大黄(酒蒸)、全蝎各6g。水煎服,每日1剂,早晚各服1次。

单方应用 ❶ 《太平圣惠方》:“治偏风,手足不遂,皮肤不仁:仙灵脾500g,用酒浸之,其口厚纸重重密封,不得通气,春夏浸3日,秋冬浸5日。每日随性温饮之,常令醺醺,不得大醉。”
❷ 《圣济总录》:“治目昏生翳:仙灵脾,生王瓜(小栝楼红色者)等分为末,每服3g,茶汤下,日2服。”
❸ 《奇效良方》:“治牙痛:仙灵脾为粗末,煎汤漱牙。”
❹ 中草药通讯1972;(2):“治小儿麻痹症:淫羊藿、桑寄生等量制成2ml含生药1g的注射液。急性期以肌肉注射为主,配合穴位注射。

肌肉注射每次2ml,每日2次,连续20天。恢复期、后遗期以穴位注射为主,连续20天,休息半个月后再继续治疗。


❺ 湖北卫生 1972;(7):“治慢性气管炎:淫羊藿茎、叶(干品),以其总量的80%煎取浓汁,20%研粉,两者混合为丸。每日服用量相当于生药30g,分2次服。”
❻ 中医杂志 1985;(3):“治骨头鲠喉:淫羊藿15~20g。置锅内以文火焙焦后,加糖水150~200ml,拌匀焙干。

再加水400ml,煎至350ml,稍凉即服,一般服药1次即可,未愈者可加服1次。或先呷米醋20ml,10分钟后再服此药。”

食疗 ❶ 仙灵脾酒(《中华进补大全》)治肾阳虚衰引起的遗精频繁、阳痿不举,精少不育,腰膝酸软。亦可用于风湿痹痛,四肢麻木,下肢瘫痪:仙灵脾100g,白酒500ml。

先将仙灵脾切片,装入纱布袋中,扎口,浸于酒中,加盖密封,2周后即可服用。每日10~20ml,每日服2次。

❷ 乌蛇羊藿汤(《实用食疗方精选》)治小儿麻痹证急性期及后遗症:乌梢蛇60g,淫羊藿30g,钩藤、桑寄生各6g,加水炖服,1日服完,分2~3次服。。

【医药家论述】:

❶ 刘若金《本草述》:“淫羊藿,《本经》首主阴痿绝伤,《日华子》亦首言其疗男子绝阳,女子绝阴,则谓入命门、补真阳者是也。盖命门为肾中之真阳,即人身之元气。其所谓绝阳绝阴,不本之元气,何以嘘之于既槁。

所谓益气力,强志,并治冷气劳气,筋骨挛急等证,皆其助元气之故。至苦茎中痛,小便不利,皆肝肾气虚所致,此味入肾而助元阳,即是补肾气,而肝肾固同一治也。

老人昏耄,中年健忘,皆元阳衰败而不能上升者也。以是思功,功可知矣。须知此味以降为升,其升由于能降也。”
❷ 《本草正义》:“淫羊藿,禀性辛温,专壮肾阳,故主阴痿,曰绝伤者,即阳事之绝伤也。茎中痛,亦肾脏之虚寒。利小便者,指老人及虚寒人之阳事不振,小便滴沥者言之,得其补助肾阳而小便自利,非湿热蕴结,水道赤涩者可比,读书慎勿误会。益气力、强志、坚筋骨,皆元阳振作之功,然虚寒者固其所宜,而阴精不足,真阳不固者,万不可为揠苗之助长也。消瘰疬、赤痈,盖亦因其温通气血,故能消化凝结。

然疬疡之病,由于阴血不充,肝阳燔灼,而煎熬津液。凝结痰浊者为多,幸勿误读古书,反以助其烈焰。

洗下部之疮,则辛燥能除湿热,亦犹蛇床子洗疮杀虫耳。《日华》主丈夫绝阳,女子绝阴,一切冷风劳气,筋骨挛急,四肢不仁,补腰膝,则辛温之品,固不独益肾壮阳,并能通行经络,祛除风寒湿痹。

但《日华》又谓治老人昏耄,中年健忘,则未免誉之太过。而景岳且谓男子阳衰,女子阴衰之艰于子嗣者,皆宜服之,则偏信温补,其弊滋多,更非中正之道矣。石顽谓一味仙灵脾酒,为偏风不遂要药,按不遂之病有二因:一为气血俱虚,不能荣养经络,或风寒湿热痹著之病,古人之所谓痹症是也,其来也缓;一为气血上冲,扰乱脑神经而忽失其运动之病,今之所谓中风,西医之所谓脑经病是也,其病也暴。仙灵脾酒,止可治风寒湿痹之不遂,并不能治气血两虚之不遂,而血冲脑经之不遂,更万万不可误用。

随便看

 

离鸟网收录3541549条中英文词条,其功能与新华字典、现代汉语词典、牛津高阶英汉词典等各类中英文词典类似,基本涵盖了全部常用中英文字词句的读音、释义及用法,是语言学习和写作的有利工具。

 

Copyright © 2004-2024 vtrois.com All Rights Reserved
更新时间:2026/4/5 15:34:09