网站首页  词典首页


请输入您要查询的字词:

 

字词 混合策略的一般解法
类别 中英文字词句释义及详细解析
释义 混合策略的一般解法

求解矩阵对策问题的一般解法,适用于不能进行简化用特殊解法的混合策略对策问题。对于一般m×n混合策略问题,均可用线性规划模型求解。

用支付矩阵C

分析A的混合策略可得如下不等式组:

变形:

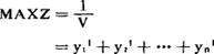
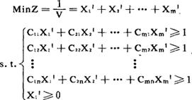
则有LP问题:

用单纯形法求出则有:

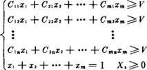
分析B的混合策略,不得如下不等式组:

作类似处理,设

则有LP问题:

用单纯形法求得,则

随便看

 

离鸟网收录3541549条中英文词条,其功能与新华字典、现代汉语词典、牛津高阶英汉词典等各类中英文词典类似,基本涵盖了全部常用中英文字词句的读音、释义及用法,是语言学习和写作的有利工具。

 

Copyright © 2004-2024 vtrois.com All Rights Reserved
更新时间:2026/5/25 19:45:37