渐开线少齿差行星齿轮传动(1)
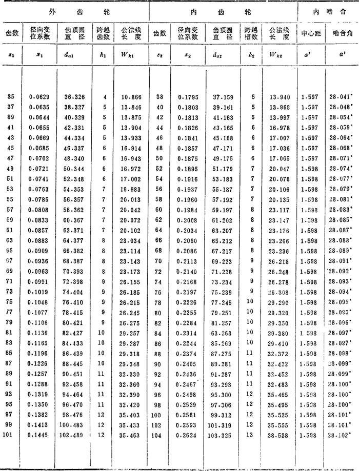
如图5.7-10所示,渐开线少齿差行星齿轮传动由内齿轮b、行星轮c、系杆H和带等角速比机构的输出轴V组成。行星轮比内齿轮只差很少几个齿(常用齿数差为1~4)。这种传动只用于减速。传动时,系杆主动,行星轮从动。其传动比计算如下: 由图可知 ∠aO2P=φ2+γ=φ2+inva'-invaa2 经整理可得齿廓不发生重叠干涉的条件为: Gs=z1(invaa1+δ1)-z2(inVaa2+δ2)+(z2-z1)inVa'≥0 (5.7-22) 式中 Gs为齿廓重叠干涉验算值;aa1、ac2分别为外、内齿轮的齿顶圆压力角;a'为内啮合传动的啮合角:ra1、rb2分别为外、内齿轮齿顶圆半径;  注:表中所有长度单位均为mm。 表5.7-7 二齿差几何尺寸及参数( ,a=20°,m=1mm)  注:表中所有长度单位均为mm。 表5.7-8 三齿差几何尺寸及参数( ,a=20°。m=1mm)  注:表中所有长度单位均为mm。 表5.7-9 四齿差几何尺寸及参数( ,a=20°,m=1mm)  注:表中所有长度单位均为mm。 |