网站首页  词典首页


请输入您要查询的字词:

 

字词 渐近鞅理论
类别 中英文字词句释义及详细解析
释义 渐近鞅理论

自20世纪50年代经典鞅论完成后,近代鞅论迅猛发展的同时,人们考虑能否减弱鞅定义中的条件而仍能保持鞅的部分性质,其主要特点是鞅条件在各种不同的极限意义下成立,这就是自60年代开始发展起来的渐近鞅理论。

是实值适应可积序列,和T分别表示()停时和有界停时全体,记T(σ)={τ∈T:τ≥σ},

❶ 称Z是鞅(Martingale),若

❷ 称Z是拟鞅(Quasimartingale),若

❸ 称Z是渐近鞅(Amart),若存在且有限;

❹ 称Z是依概渐近鞅(Pramart),若

❺ 称Z是极限鞅(1)(Mil(1)),若

❻ 称Z是极限鞅(2)(Mil(2)),若

❼ 称Z是极限鞅(3)(Mil(3)),若

❽ 称Z是依概极限鞅(1)(GFT(1)),若

❾ 称Z是依概极限鞅(2)(GFT(2)),若

❿ 称Z是循序鞅(PM),若存在上升的适应集合列(An,n≥1)

使有且在An上有

⑾称Z是终鞅(EM),若

⑿称Z是拟终鞅(QEM),若

⒀称Z是L1-极限鞅(1)(L1-Mil(1)),若

⒁称Z是L1-极限鞅(2)(L1-Mil(2)),若

上述序列也称为鞅型序列,它们之间有下述关系:

若把上述序列定义中的绝对值|·|改为[·]+(-),就得到相应的上(下)鞅型序列。

例如称Z是极限下鞅(3),若

,对给定的σ域流(,n≥1),设表示具有某一特性的实值(,n≥1)适应的可积序列全体,称具有:

(A)可选停止性,若对每一个,有

(B)可选采样性,若对每一个,对任取的上升停时列,均有

(C)Riesz分解性,若对每一个(xn,Fn,n≥1)∈1,有分解

xn=Mn+zn,n≥1

其中(Mn,n≥1)是鞅,而EznIA→0,n→∞,

(D)极大值不等式性,若对每一个

(E)a.s.收敛性,若对每一个∞,

存在;

(F)变换性,若对每一个,(un,n≥1)可料序列

(i)若(un,n≥1)一致有界,则,其中

(ii)若,在集合存在

(G)差方可加性,若对每一个,有

已知鞅具有所有上述性质,鞅型序列❷ ~⒁保持上述鞅性质的情况如表1所示。

表1

说明:(1)表中√表示有此性质,×表示无此性质,×*表示在条件下有此性质。

(2)Pr.表示仅有依概率收敛性。

(3)F(ii)表示仅有变换性(ii),F(ii)*表示在条件|<∞下有变换性(ii)。

关于鞅型序列及其有关性质的一系列结果,常称为渐近鞅理论,几乎与此同时,向量值渐近鞅理论也被建立。

设(,‖·‖)是一Banach空间,值Bochner可积适应序列,若把实值鞅型序列定义中的绝对值|·|换成‖·‖,即可得到相应的向量值鞅型序列的定义。

例如称Z是一致渐近鞅,若

时,渐近鞅与一致渐近鞅是等价的,但在一般Banach空间中,只有一致渐近鞅渐近鞅成立。向量值鞅与鞅型序列的鞅性质常与值空间的几何性质有关。

例如,1985年M.Talagrand证明了下述命题——设是一Banach空间,则下述等价:(1)有RNP,(2)满足条件的任一值Mil(3)必a.s.按范数拓扑收敛。现在,实值与向量值渐近鞅理论已趋于成熟,随著随机集理论的兴起,集值鞅与渐近鞅理论正处于发展阶段。

。【参考文献】:

1 Edgar G A, et al. J, Multivariate Anal,1976,6:193~221, 572~591

2 Millet A, et al. Can J Math, 1980,32:86~125

3 Gut A, et al. L.N. M, 1983,1042

4 Egghe L. Stopping time techniques for analysts and proba-bilists. Cambridge University Press, 1984

5 TomkinsRJ. Can J Statist,1984,12:99~106

6 Talagrand M. Ann of Probability , 1985,13:1192 ~1203

(华东师范大学汪振鹏教授撰)

上一篇:光滑映射芽的决定性理论
下一篇:现代科技综述大辞典上目录
"渐近展开法渐近展开法

逼近论和解析数论的重要工具。

其基本思想是利用一个简单函数系去逼近一个复杂的函数,并使之逼近到任意精确的程度。因此,渐近展开方法在理论和实际计算中都有重要应用。

设{φn(x)}(n=0,1,2,…)为一函数序列,它满足下列条件:φ1(x)=0(φ0(x)),φ2(x)=0(φ1(x)),…(x→∞),设存在一列常数C0,C1,C2,…使得函数f(x)有以下的估计

f(x)=o(φ0(x)), (x→∞);

f(x)=c0φ0(x)+o(φ1(x)), (x→∞);

f(x)=c0φ0(x)+c1φ1(x)+o(φ2(x)), (x→∞);

…………

…………

显然,上式是一个逐次精密的过程,如果上式成立,则记

f(x)≈c0φ0(x)+c1φ1(x)+c2φ2(x)+…,

(x→∞)

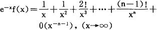
并称右式为f(x)关于函数列{φn(x)}的渐近级数或渐近展开,例如,函数,利用分部积分法,可以得到exf(x)关于函数列的渐近级数是,并有以下估计式成立

在渐近展开中,最简单最重要的是取φn(x)=x-n,(n=0,1,2,…)的情形,对此种情形,渐近展开的意义可表述如下:设函数F(x)与级数的第n个截断之差,对于任意固定的n都满足条件,则称级数是函数F(x)的渐近展开或渐近级数,并记为

F(x)≈C0+C1X-1+C2X-2+…

显然,一个函数的渐近级数并不一定收敛到该函数,甚至它可以是发散的。渐近展开还有以下重要性质:(1)(唯一性)若,且,则必有Cn=Bn(n=0,1,2,…)(2)若,则,其中;(3)若;(4)若,则

随便看

 

离鸟网收录3541549条中英文词条,其功能与新华字典、现代汉语词典、牛津高阶英汉词典等各类中英文词典类似,基本涵盖了全部常用中英文字词句的读音、释义及用法,是语言学习和写作的有利工具。

 

Copyright © 2004-2024 vtrois.com All Rights Reserved
更新时间:2026/5/25 9:40:32