温郁金
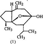
【名称出处】:药学学报 【概况】: 异名 姜黄(《图经本草》),温州蓬莪茂(《证类本草》)。 基源 为姜科姜黄属植物温郁金的块根。 原植物 温郁金Curcuma aromatica Salisb.cv.wenyujin Y.H.Chen et C.Liing. 余项参见“莪术”条。 。【化学】: 根茎含挥发油,少量酚性成分和生物碱四甲基吡嗪(Tetramethylpyrazine)等。 挥发油成分中含有:α和β-蒎烯、莰烯、柠檬烯、桉油素、异龙脑、龙脑、樟脑、松油醇、石竹烯、丁香酚、芳姜黄烯、姜黄烯、姜烯、榄香烯(Elemene)、莪术酮、莪术醇(Curcumol)(1)、姜黄酮、芳姜酮、大牻牛儿酮、莪术二酮等[1]。酚性成分含量达0.2%[2]。 块根挥发油成分与根茎基本相同。酚性成分亦同,但含量小于0.01%[2]。  参考文献 [1] 药学学报 1982;17:441 [2] 中草药 1983;14(2):11。【药理】: 见“郁金”条。 【药性】: 性味 ❶ 《中国药典》:“辛、苦,寒。” ❷ 《新华本草纲要》:“苦、辛,温。” 归经 归肝、心、肺经。 功效 破血行气化瘀,清心解郁,利胆退黄,消积聚,止痛。 主治 ❶ 《中国药典》:“治经闭痛经,胸腹胀痛,刺痛,热病神昏,癫痫发狂,黄疸尿赤。” ❷ 《新华本草纲要》:“治癥瘕积聚,气血凝滞,脘腹胀痛,食积胀痛,经闭腹痛等症。” 用法用量 内服:3~9g。 。【临床应用】: 单方应用 《中药志》:“治月经过多,食积脘腹胀痛,血瘀经闭及跌打损伤:温郁金4.5~9g。水煎服。” |