网站首页  词典首页


请输入您要查询的字词:

 

字词 湿法净化的计算
类别 中英文字词句释义及详细解析
释义 湿法净化的计算

1.空心洗涤塔的计算

【说明】空心洗涤塔的特点是工作稳定,适应性强,操作方便,但设备庞大,投资多,除尘效率较低,不能单独用于沸腾炉炉气的除尘。

(1)空塔体积V

【公式】

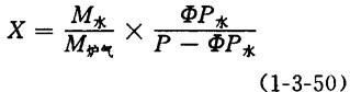
❶ 平衡曲线的绘制

【说明】在一定温度下,查饱和水蒸汽表可得该温度时的饱和水蒸汽压力,取饱和度值(一般取100%),然后根据式1-3-50和式1-3-51求得湿含量值和热焓值,由此计算在各种不同温度下的热焓值并可作出平衡曲线。

【公式】

式中 X——饱和炉气在温度t的时的湿含量(kg水/kg炉气)

P——湿炉气的总压力(kPa)

P——t℃时饱和水蒸汽压力(kPa)

Φ——饱和度(%)

M——水的摩尔质量

M炉气——干炉气的摩尔质量

I——温度t时炉气的热焓值(kJ/kg)

C炉气——炉气的比热[kJ/(kg·C)]

t——饱和炉气的湿球温度(℃)

C——水蒸汽的比热[kJ/(kg·C)]

2941——0C时水的汽化潜热(kJ/kg)

❷ 操作曲线的绘制

【说明】按操作线方程式1-3-52,作出I-t图。操作线的斜率为,因此,操作线为一直线,只要求出塔顶状态(A点)与塔底状态(B点)就可绘出操作线AB。

【公式】

式中 G——流经洗涤塔的干炉气量(kg/h)

L——进入洗涤塔的液体量(kg/h)

t1——液体的最初温度(C)

t2——液体的最终温度(C)

I1——气体的最初热焓(kJ/kg)

I2——气体的最终热焓(kJ/kg)

C——液体的比热〔kJ/(kg·℃)〕

❸ 理论塔板数求算

【说明】以A点起在操作线与平衡线之间用梯级法作梯级,直至t2为止,所得梯级数即为理论塔板数。

❹ 实际塔板数的计算

【公式】

式中 n——实际塔板数

n——理论塔板数

η——塔板平均效率(对于传热过程称为塔板的热效率),单板泡沫塔其热效率为70~90%,当泡沫层高度较高时,热效率可达95%,热效率η可用下式计算:η=59+h。 (1-3-54)

h0——原液层高度(计算方法见后),当空塔气速为1.5~3.0m/s时,h。=10~35mm

(2)气体流速和塔径的确定

【说明】气体的空塔速度在1.6~2.6m/s范围内,除尘降温效果均能达到生产要求。设计中一般取2m/s。生产负荷变动20%时尚能保持良好的稳定性。

塔径需根据空塔气速来确定,但是对于有内溢流装置的塔,则应考虑塔板支架(一般占塔截面积的11%~18%左右)及溢流装置占据的面积。

(3)溢流装置的计算

【说明】一般采用内溢流式。溢流管和溢流槽的截面积按入塔的全部液体量考虑。

❶ 溢流管面积F

式中 L——按热量平衡计算的液体淋洒量(m3/s)

ω1——液体在溢流管中的速度(m/s)

❷ 溢流槽截面积F槽

式中 ω2——液体在溢流槽中的速度(m/s)

其它同上

❸ 塔截面积F

【公式】

F=F+F+F(m2) (1-3-57)

式中 F——塔板面积,包括塔板支架所占面积(m2)

其它同上

❹ 圆形塔直径D

【公式】

式中符号含义及单位同上

❺ 泡沫层高度H

【说明】泡沫层高度一般取100~200mm,用于除尘时可取下限,用于其他过程时可取上限。

(4)筛孔直径d

【说明】筛孔直径须符合可能获得最大的相际接触面和小的流体阻力的要求。对除尘、除雾一般取5~7mm;对传热、吸收一般用4~6mm。筛孔直径与筛孔中心距之间有如下关系。

式中 t——筛孔中心距(mm)

d——筛孔直径(mm)

【讨论】当t/d<2时,虽然阻力很低,但液体泄漏快,泡沫层低,传热传质均差。

(5)筛板自由截面积S0

【说明】塔板自由截面积S0在10~18%之间比较合适,对于用作除尘的泡沫塔,S0可取至25%。

❶ 按等腰三角形排列的筛孔S0

【公式】

式中符号及含义同上

❷ 按等边三角形排列的筛孔S0

【公式】

式中符号及含义均同上

(6)气体通过筛孔的速度ω

【说明】塔板的自由截面积确定后,气体通过小孔的速度ω也就决定了。

对于吸收作业,ω>11m/s

对于解吸作业,ω>13m/s

对于传热过程,ω=10~15m/s

对于除尘作业,ω=6~13m/s

(7)塔板厚度

【说明】单纯从工艺角度要求,塔板厚度以4~6mm为最好,阻力较小,如钢制塔板可取此厚度;但其他材料由于强度及加工要求,其厚度一般可达15~20mm,或更大些。

(8)泡沫塔的流体阻力△P

【说明】在忽略泡沫塔内部摩擦阻力的情况下,气体通过泡沫塔的流体阻力为塔板阻力△P,气体进口阻力△P及气体出口阻力△P三者之和。△P包括干塔板阻力△P1和泡沫层阻力△P2

❶ 干塔板阻力△P1

【公式】

式中 △P1——干塔板阻力(Pa)

γ——气体重度(N/m3)

ω——气体通过筛孔时的速度(m/s)

g——重力加速度(9.81m/s2)

Φ——阻力系数,当板厚δ=5mm时,干塔板阻力最小,此时Φ=1 .45,此时:

Kc——与塔板厚度δ有关的系数,见表1-3-17

表1-3-17 与塔板厚度δ有关的系数Kc

❷ 泡沫层阻力△P2

【公式】

△P2=325H-23ω+43.5 (1-3-64)

式中 △P2——泡沫层阻力(mmH2O)(1mmH2O=9.81Pa)

H——泡沫层高度(m)

ω塔——空塔速度(m/s)

❸ 气体进口阻力△P,出口阻力△P可用局部阻力公式计算。

5.文氏管洗涤器的计算

【说明】文氏管用于沸腾炉炉气的净化和冷却、具有结构简单、材料少、投资省、操作管理方便、效率高等优点;缺点是阻力大、生产负荷变动大时不易控制。目前,多采用二级文氏管串联。文氏管后需设置旋风除沫器,若采用带有文氏管的泡沫塔,即所谓文——泡净化流程,此时文氏管后可不设置旋风除沫器。

(1)喉管气速的确定

【说明】捕集由于升华物冷凝或高度分散的微尘或雾滴时(粒子小于1μm),喉管气速为90~120m/s;捕集由于机械粉碎而形成的液滴和粉尘时(粒子大于3~5μm),喉管气速为70~90m/s;进行气体冷却或从其中吸收某些蒸汽和气体的组分时,喉管气速为40~70m/s,其它用途的喉管气速如表1-3-18。

表1-3-18 文氏管洗涤器的喉管气速

(2)喉管直径d

【公式】

式中 Q——通过喉管的气体流量(m3/s)

ω——喉管气速(m/s)

(3)喉管长度L

【说明】喉管长度一般取L=0.8~1.5d(d为喉管直径)。

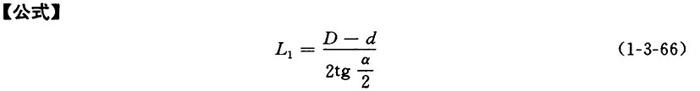
(4)收缩管长度L1

式中 D——进口管直径(mm)

d——喉管直径(mm)

α——收缩管的中心角,一般在20~30°之间,常用23°,角度愈大压力降也愈大。当α=23°时:

L1=2.46(D-d) (1-3-67)

(5)扩散管长度L2

【公式】

式中 β——扩散管的中心角,β=6~8°,小型的4~6°,一般取7°,此时:

L2=8.17(D-d) (1-3-69)

(6)压力降

【说明】文氏管的压力降可按下述经验公式计算。

❶ 第一级文氏管的压力降△P1

【公式】

式中 ρ2——出口气体重度(N/m3)

u2——喉管出口气速(m/s)

u——喉管平均气速(m/s)

L——喷水量(kg/min)

A——喉管截面积(m2)

△P1——第一级文氏管压力降(Pa)

❷ 第二级文氏管压力降△P2

【公式】

式中 L′——液气比(m3水/1000m3炉气)(操作状态)

ρ——炉气的平均重度(N/m3)

u——喉管流速(m/s);

g——重力加速度(9.81m/s2)

(7)旋风除沫器的压力降

【说明】文氏管后的旋风除沫器的设计计算可参照旋风除尘器。

❶ 干炉气的压力降△P

【公式】

式中 ρ——炉气的平均重度(N/m3)

u——进口气速(m/s),一般为20左右

❷ 湿炉气(带有液体时)压力降△P湿

【公式】

式中 L′——液气比(m3水/1000m3炉气)(操作状态)其它同上

6.洗涤水中SO2的损失

【说明】用水洗涤炉气的过程中,部分SO2溶于水中而损失,提高水温有利于除去SO2和减少SO2的损失,洗涤水中SO3和SO2含量和温度的关系见表1-3-19。

表1-3-19 洗涤水中SO2和SO3含量与温度的关系

随便看

 

离鸟网收录3541549条中英文词条,其功能与新华字典、现代汉语词典、牛津高阶英汉词典等各类中英文词典类似,基本涵盖了全部常用中英文字词句的读音、释义及用法,是语言学习和写作的有利工具。

 

Copyright © 2004-2024 vtrois.com All Rights Reserved
更新时间:2026/4/6 16:07:01