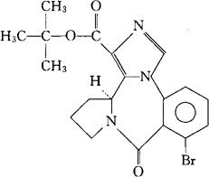
溴他西尼
C19H20BrN3O3=418.29 CAS-84379-13-5 (S)-8-溴-11,12,13,13a-四氢-9-氧-9H-咪唑并[1,5-a]吡咯并[2,1-c][1,4]苯并二氮杂 -1-羧酸,1,1-二甲基乙基酯。 (S)-8-Bromo-11,12,13,13a-tetrahydro-9-oxo-9Himidazo[1,5-a]pyrrolo[2,1-c][1,4]benzodiazepine1-carboxylic acid,1,1-dimethylethyl ester. 叔-丁基(S)-8-溴-11,12,13,13a-四氢-9-氧-9H-咪唑并[1,5-α]吡咯并[2,1-c][1,4]苯并二氮杂 -1-羧酸盐。 tert-Butyl(S)-8-bromo-11,12,13,13a-tetrahydro-9-oxo-9H-imidazo[1,5-a]pyrrolo[2,1-c][1,4]benzodiazepine-1-carboxylate. 抗焦虑药。 Bretazenil,Ro 16-6028/000. INN,USAN.  |